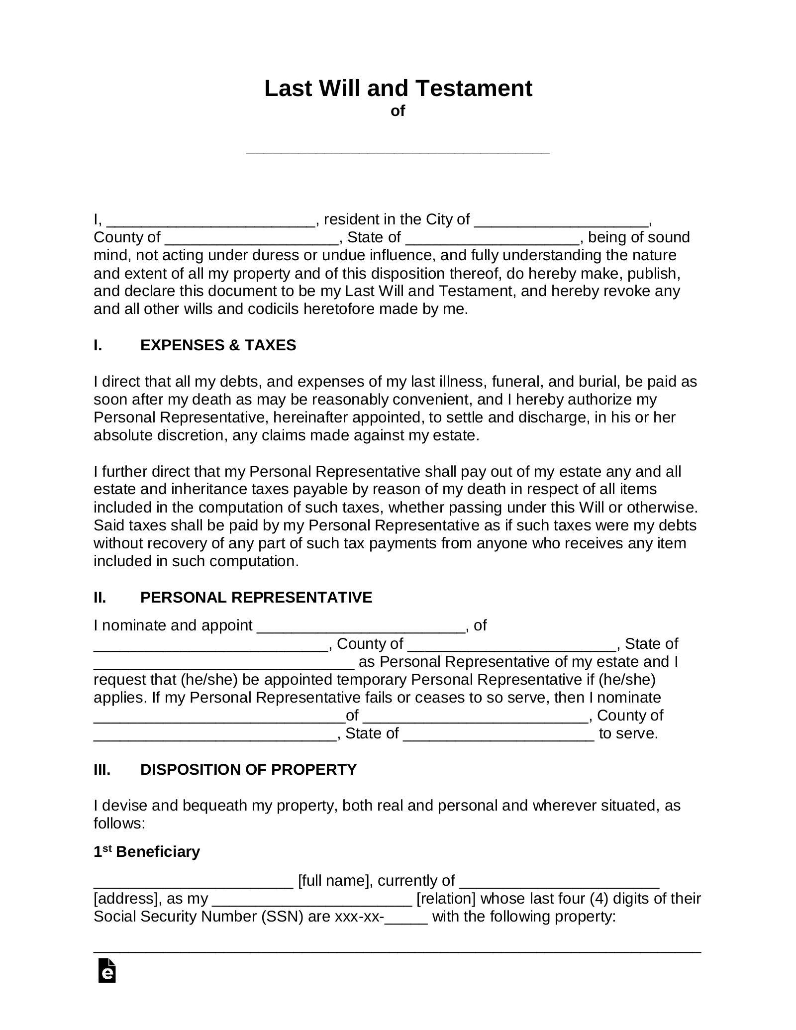
Creating a Last Will and Testament is an important step in ensuring that your assets are distributed according to your wishes after you pass away. In the UK, having a legally binding document in place can provide peace of mind for both you and your loved ones. However, the process of creating a Will can be overwhelming. Fortunately, there are free printable templates available that can help simplify the process.
Using a template for your Last Will and Testament in the UK can save you time and money. These forms are designed to guide you through the necessary information that needs to be included in your Will. By filling in the blanks and following the instructions provided, you can create a customized document that reflects your specific wishes and needs.
Template Free Printable Uk Last Will And Testament Forms
When using a free printable UK Last Will and Testament form, it is essential to ensure that the document complies with the laws and regulations of the UK. Make sure to review the form carefully and consult with a legal professional if you have any questions or concerns. It’s crucial to be thorough and accurate when completing your Will to avoid any potential disputes or challenges in the future.
Another benefit of using a template for your Will is that it can help you organize your thoughts and assets. By outlining your wishes and specifying how you want your property and belongings to be distributed, you can avoid confusion and ensure that your loved ones are taken care of after you’re gone. Having a clear and concise document can also make it easier for your executor to carry out your wishes.
In conclusion, using a free printable UK Last Will and Testament form can be a valuable tool in estate planning. By taking the time to create a legally binding document, you can provide clarity and peace of mind for yourself and your loved ones. Remember to review the form carefully, seek legal advice if needed, and update your Will regularly to reflect any changes in your circumstances or wishes.