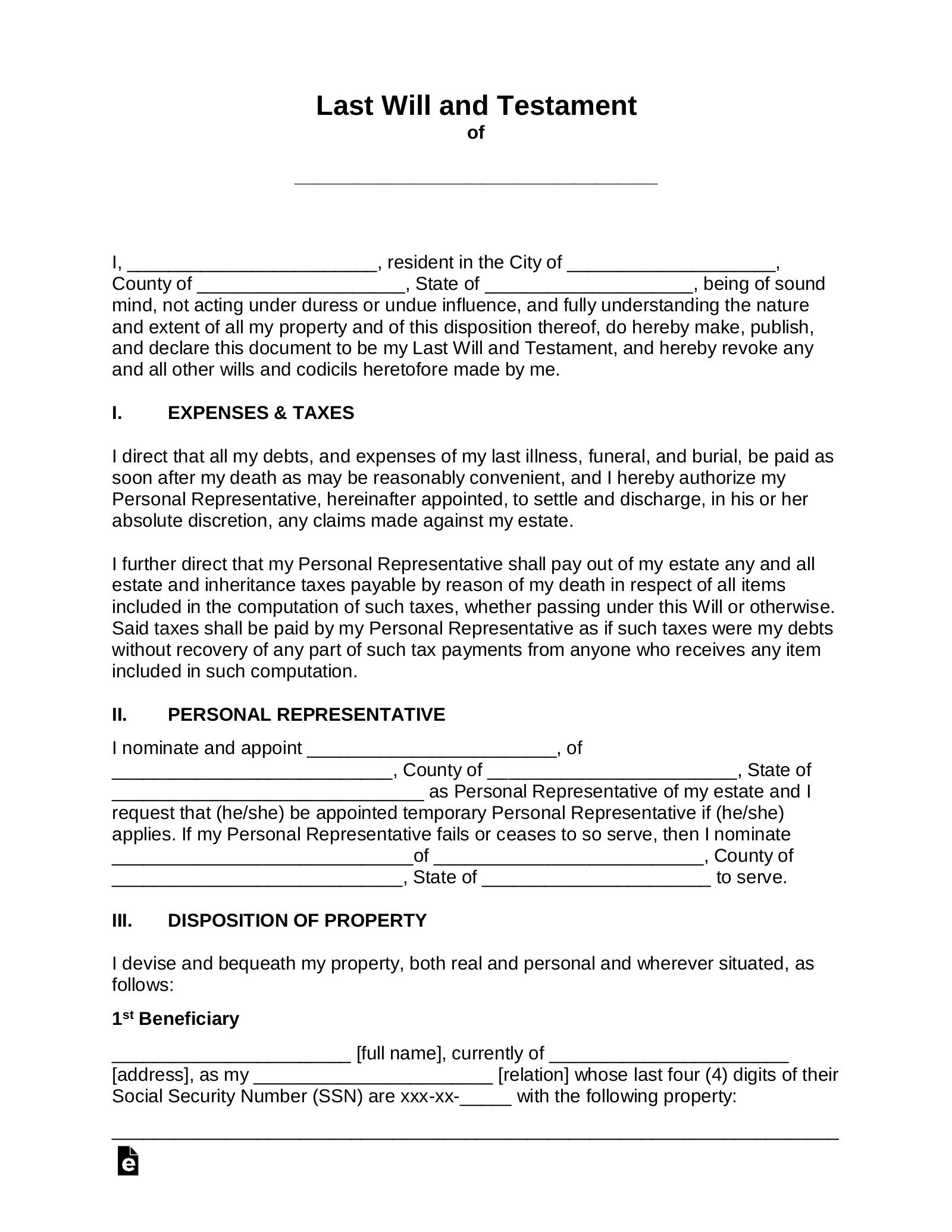
Creating a last will and testament is an important step in ensuring that your assets are distributed according to your wishes after you pass away. In the UK, there are printable simple last will and testament forms available that can help you draft a legally binding document without the need for expensive legal assistance.
These forms typically include sections where you can specify how you want your assets to be distributed, appoint an executor to carry out your wishes, and designate guardians for any minor children. They are designed to be easy to fill out and understand, making the process of creating a will simpler and more accessible to everyone.
Printable Simple Last Will And Testament Forms Uk
It is important to remember that a will must meet certain legal requirements in order to be valid, so using a reputable printable form can help ensure that your wishes are properly documented and followed. By taking the time to complete a simple last will and testament form, you can provide peace of mind for yourself and your loved ones.
Before using a printable will form, it is recommended to review it carefully and make any necessary modifications to ensure that it accurately reflects your wishes. You may also want to consult with a legal professional to ensure that your will meets all legal requirements and is properly executed.
Having a valid will in place can help prevent disputes among family members and provide clear instructions for the distribution of your assets. By using a printable simple last will and testament form in the UK, you can take an important step towards securing your legacy and ensuring that your wishes are carried out.
Overall, printable simple last will and testament forms in the UK offer a convenient and cost-effective way to create a legally binding document that reflects your wishes for the distribution of your assets after your passing. By utilizing these forms, you can ensure that your loved ones are taken care of and that your legacy is preserved according to your desires.