Skip to content

Printable Sales Tax Exemption Form

  • by

Sales tax exemption forms are used by individuals and organizations to claim exemption from paying sales tax on certain purchases. These forms are typically provided by the state or local government and must be filled out and submitted to the seller at the time of purchase.

One common reason for claiming a sales tax exemption is for purchases made for resale. In this case, the buyer intends to resell the item and therefore should not have to pay sales tax on it. Other reasons for exemption may include purchases made for certain non-profit organizations, government agencies, or for specific types of products or services.

FREE 13 Tax Exemption Form Samples PDF MS Word Google DocsPrintable Sales Tax Exemption Form

It is important to note that not all purchases are eligible for sales tax exemption, and each state has its own rules and regulations regarding who qualifies for exemption and what types of purchases are exempt. It is important to carefully review the requirements and guidelines provided by the state or local government before claiming an exemption.

Printable sales tax exemption forms make it easy for individuals and organizations to claim exemption without having to visit a government office or wait for a form to be mailed to them. These forms can typically be found on the state or local government’s website and can be easily downloaded and printed out for use.

When filling out a sales tax exemption form, it is important to provide accurate and complete information to ensure that the exemption is processed correctly. This may include providing information about the buyer, the seller, the items being purchased, and the reason for claiming exemption. Once the form is completed, it should be submitted to the seller at the time of purchase.

In conclusion, printable sales tax exemption forms are a convenient and efficient way for individuals and organizations to claim exemption from paying sales tax on certain purchases. By understanding the rules and regulations surrounding sales tax exemption and carefully filling out the necessary forms, buyers can save money on their purchases and ensure compliance with state and local tax laws.


Get and Print Printable Sales Tax Exemption Form

Printable payroll template are ideal for teams that prefer non-digital systems or need physical copies for staff files. Most forms include fields for employee name, date range, total earnings, withholdings, and final salary—making them both detailed and user-friendly.

Take control of your payroll process today with a trusted payroll template. Save time, minimize mistakes, and stay organized—all while keeping your financial logs professional.

St 105 003St 105 003

Form Fr 551 Certificate Of Exemption Form Printable Pdf DownloadForm Fr 551 Certificate Of Exemption Form Printable Pdf Download

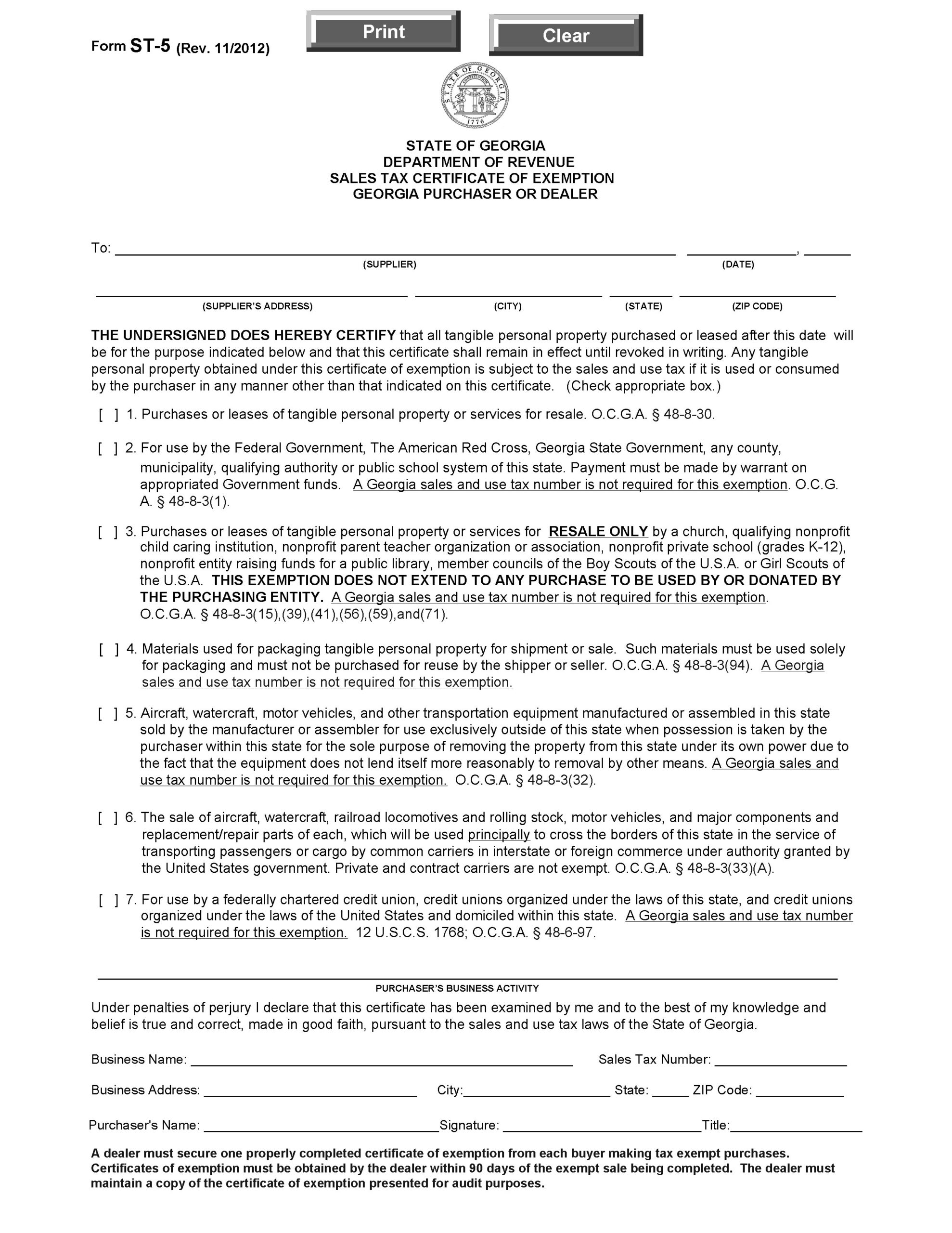
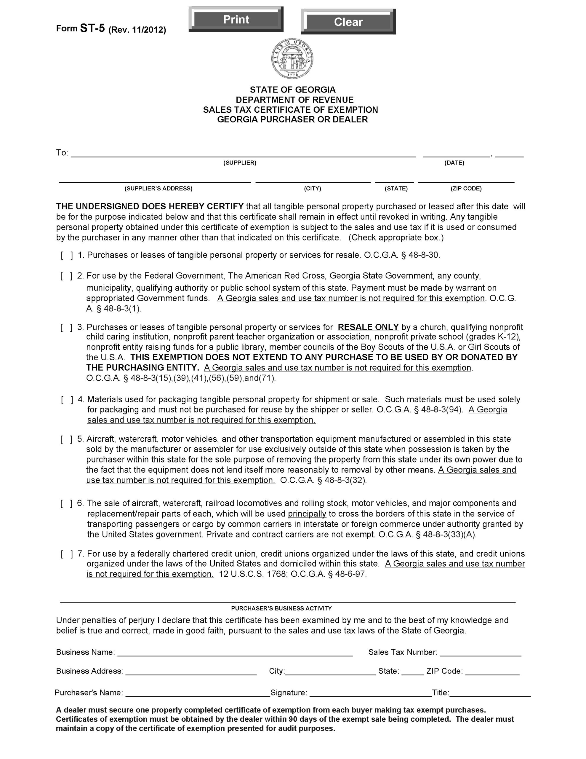
Georgia Resale Certificate TrivantageGeorgia Resale Certificate Trivantage

How Do I Use The MTC multijurisdiction Form For Sales Tax Worksheets LibraryHow Do I Use The MTC Multijurisdiction Form For Sales Tax Worksheets Library

Printable Washington Sales Tax Exemption CertificatesPrintable Washington Sales Tax Exemption Certificates

Handling staff wages doesn’t have to be difficult. A printable payroll offers a quick, accurate, and user-friendly method for tracking salaries, shifts, and deductions—without the need for complex software.

Whether you’re a freelancer, administrator, or sole proprietor, using aprintable payroll template helps ensure accurate record-keeping. Simply access the template, print it, and fill it out by hand or edit it digitally before printing.