Skip to content

Printable Last Will And Testament Forms

  • by

Creating a last will and testament is an important part of estate planning. It allows you to specify how you want your assets to be distributed after your passing, ensuring that your wishes are carried out. While you can hire a lawyer to draft a will for you, there are also printable last will and testament forms available online that can help simplify the process.

These forms typically include sections where you can designate beneficiaries, specify how your assets should be divided, appoint guardians for minor children, and name an executor to oversee the distribution of your estate. By filling out these forms, you can ensure that your loved ones are taken care of and that your assets are distributed according to your wishes.

35 Free Blank Last Will And Testament Forms Word PDF Printable Last Will And Testament Forms

One of the benefits of using printable last will and testament forms is that they are easily accessible and can be completed at your convenience. You can fill them out in the comfort of your own home and update them as needed. These forms also provide a cost-effective alternative to hiring a lawyer, making estate planning more accessible to a wider range of individuals.

It is important to note that while printable last will and testament forms can be a useful tool in estate planning, they may not be suitable for everyone. If you have a complex estate or specific legal concerns, it may be advisable to seek the assistance of a lawyer to ensure that your will is legally valid and properly executed.

Overall, printable last will and testament forms offer a convenient and affordable option for individuals looking to create a will. By taking the time to fill out these forms, you can provide clarity and peace of mind for yourself and your loved ones in the event of your passing.

Whether you choose to use a printable form or seek legal assistance, creating a last will and testament is an important step in planning for the future and ensuring that your assets are distributed according to your wishes.


Get and Print Printable Last Will And Testament Forms

Payroll printable are ideal for companies that prefer paper documentation or need hard copies for audit purposes. Most forms include fields for employee name, pay period, gross pay, taxes, and final salary—making them both detailed and easy to use.

Begin streamlining your payroll system today with a trusted payroll printable. Reduce admin effort, minimize mistakes, and maintain clear records—all while keeping your payroll records professional.

39 Last Will And Testament Forms U0026 Templates TemplateLab39 Last Will And Testament Forms U0026 Templates TemplateLab

Last Will And Testament Last Will And Testament Printable Simple Last Will Fillable Last Will And Testament Template Last Will TestamentLast Will And Testament Last Will And Testament Printable Simple Last Will Fillable Last Will And Testament Template Last Will Testament

39 Last Will And Testament Forms U0026 Templates TemplateLab39 Last Will And Testament Forms U0026 Templates TemplateLab

Free Last Will And Testament Template Templates 2 PDF WordFree Last Will And Testament Template Templates 2 PDF Word

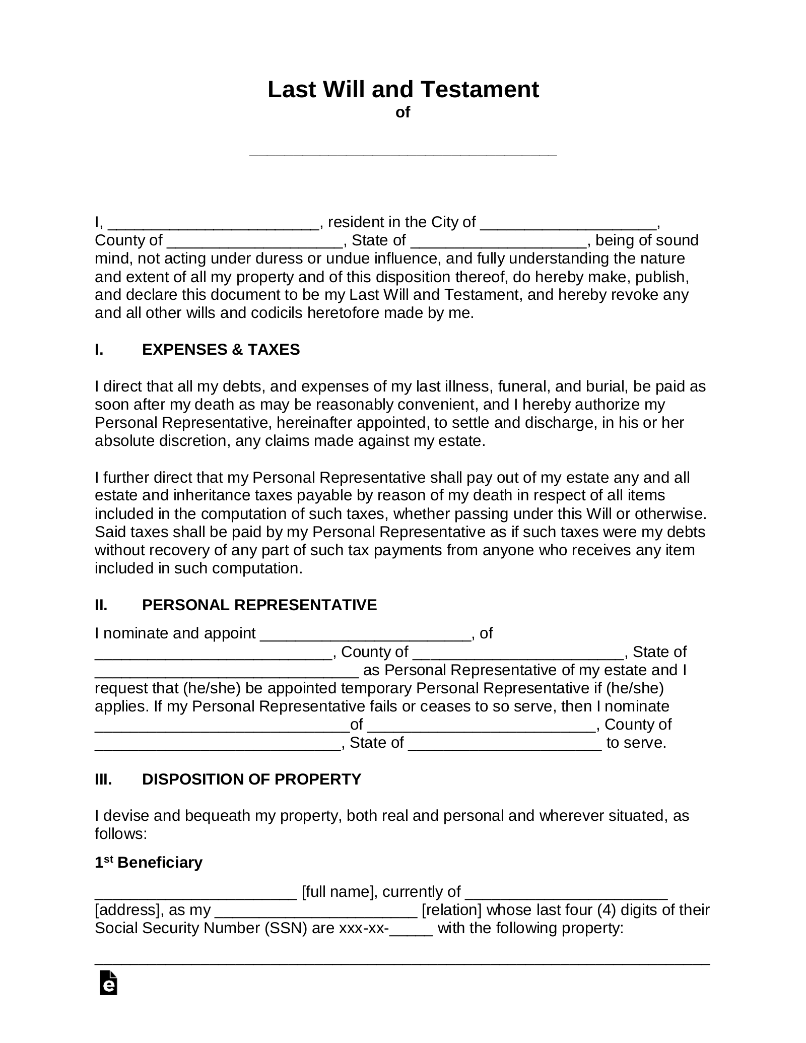
Free Last Will And Testament Will PDF Word EFormsFree Last Will And Testament Will PDF Word EForms

Managing employee payments doesn’t have to be difficult. A printable payroll template offers a fast, accurate, and easy-to-use method for tracking wages, work time, and taxes—without the need for complicated tools.

Whether you’re a small business owner, administrator, or independent contractor, using aPrintable Last Will And Testament Forms helps ensure proper documentation. Simply access the template, print it, and complete it by hand or type directly into the file before printing.