Creating a last will and testament is an important part of estate planning. It ensures that your wishes are carried out after your passing and can help prevent disputes among your loved ones. In the state of Tennessee, having a legally valid will is crucial to ensure your assets are distributed according to your wishes.
One way to make the process easier is by using printable last will and testament forms specifically designed for Tennessee residents. These forms are readily available online and can be filled out at your convenience.
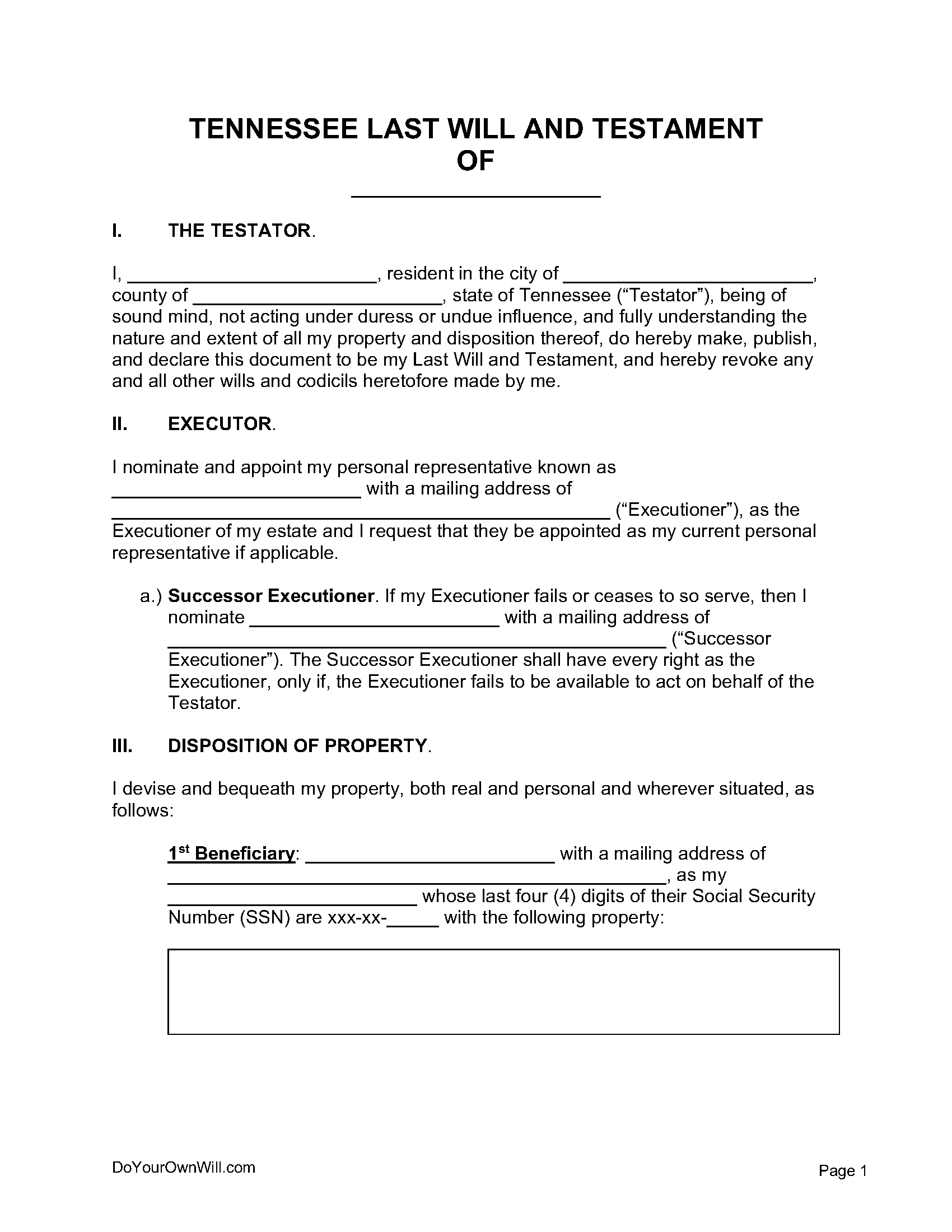
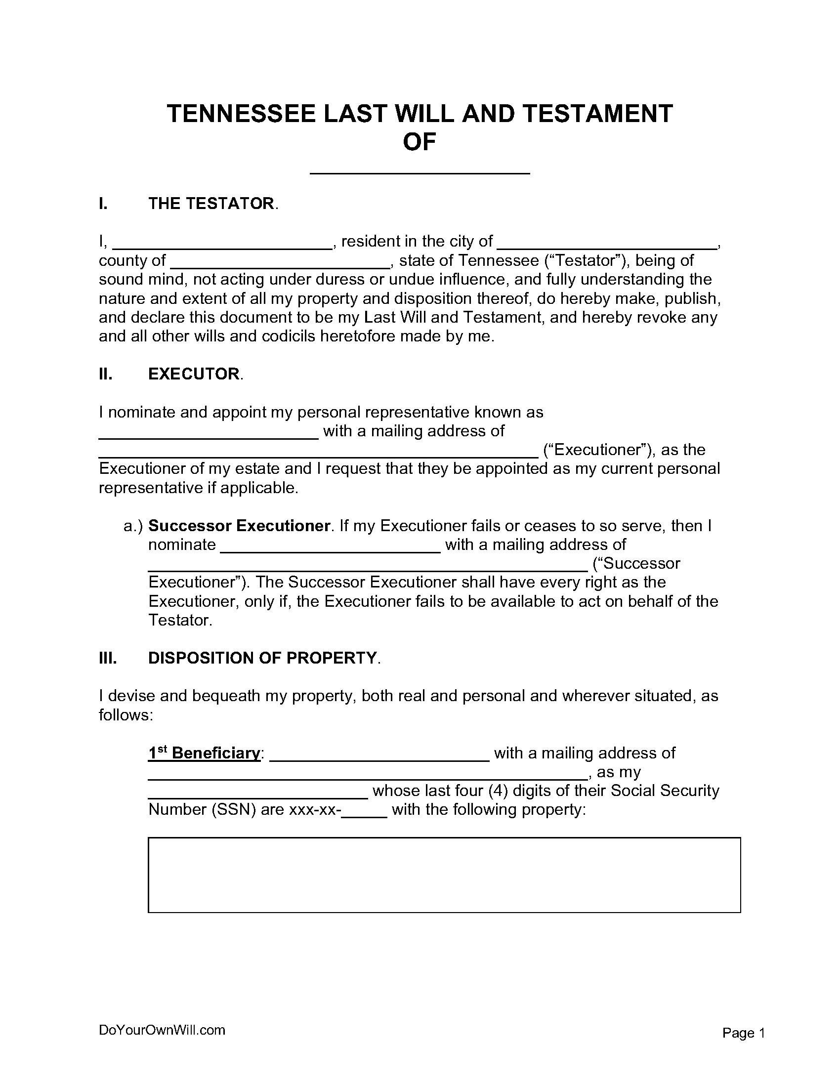
Printable Last Will And Testament Forms Tennessee
When using printable last will and testament forms in Tennessee, it is important to carefully follow the instructions provided. Make sure to include all necessary information such as your full name, date of birth, and a detailed list of your assets and beneficiaries. You may also want to include any specific instructions or wishes you have regarding the distribution of your estate.
It is important to note that while printable last will and testament forms can be a convenient option, it is always recommended to consult with an attorney to ensure that your will is legally sound and accurately reflects your wishes. An attorney can provide guidance on complex estate planning issues and help you avoid potential pitfalls.
Once you have completed your printable last will and testament form for Tennessee, it is crucial to have it properly executed and witnessed according to state laws. Failure to do so could result in your will being deemed invalid, leading to potential complications for your loved ones.
In conclusion, using printable last will and testament forms in Tennessee can be a helpful tool in ensuring that your wishes are carried out after your passing. However, it is important to approach the process with care and attention to detail. Consulting with an attorney is always recommended to ensure that your will is legally valid and accurately reflects your wishes.