Skip to content

Printable Last Will And Testament Forms For Missouri

  • by

Creating a last will and testament is an important step in ensuring that your assets are distributed according to your wishes after your passing. In the state of Missouri, having a legally valid will can provide peace of mind for both you and your loved ones. By using printable last will and testament forms designed specifically for Missouri residents, you can easily draft a document that reflects your intentions.

It is crucial to understand the laws and requirements surrounding wills in Missouri before drafting your own document. The state has specific guidelines regarding the execution and validity of wills, so using a template that adheres to these regulations can help prevent any confusion or disputes down the line. Printable forms tailored for Missouri residents typically include sections for naming beneficiaries, appointing an executor, and outlining how your assets should be distributed.

Missouri Last Will And Testament Template In Google Docs Word Printable Last Will And Testament Forms For Missouri

When using printable last will and testament forms for Missouri, it is important to carefully review and customize the document to fit your individual circumstances. You may want to consult with a legal professional to ensure that your will accurately reflects your wishes and complies with state laws. Additionally, regularly updating your will to reflect any changes in your life, such as marriage, divorce, or the birth of children, is essential to keeping your estate plan current.

By utilizing printable last will and testament forms for Missouri, you can take a proactive step towards securing your legacy and providing for your loved ones. These templates offer a convenient and cost-effective way to create a legally binding document that outlines your final wishes. Whether you have a modest estate or more complex assets, having a will in place can offer clarity and peace of mind for your beneficiaries.

Ultimately, taking the time to draft a last will and testament is a responsible decision that can benefit both you and your family in the long run. By using printable forms specifically designed for Missouri residents, you can ensure that your wishes are clearly outlined and legally enforceable. Don’t wait until it’s too late – start the process of creating your will today to protect your assets and provide for your loved ones.


Easily Download and Print Printable Last Will And Testament Forms For Missouri

Printable payroll are ideal for businesses that prefer non-digital systems or need printed versions for employee records. Most forms include fields for employee name, date range, gross pay, taxes, and net pay—making them both comprehensive and user-friendly.

Start simplifying your payroll system today with a trusted Printable Last Will And Testament Forms For Missouri. Save time, minimize mistakes, and maintain clear records—all while keeping your financial logs organized.

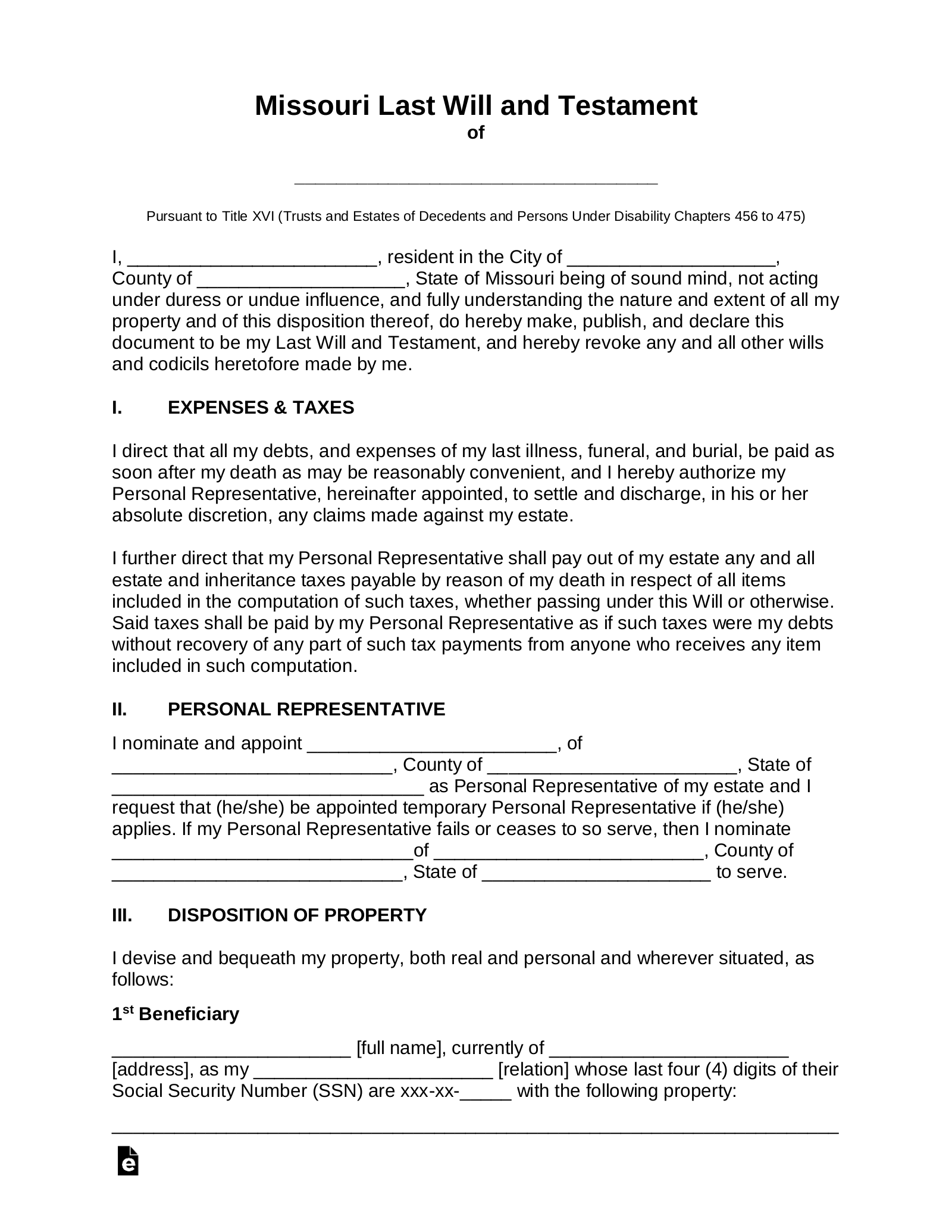
Free Missouri Last Will And Testament Template PDF Word EFormsFree Missouri Last Will And Testament Template PDF Word EForms

Missouri Last Will And Testament Templates Free Word PDF ODT Missouri Last Will And Testament Templates Free Word PDF ODT

Missouri Will Forms Last Will And Testament Living Will Missouri Will Forms Last Will And Testament Living Will

Free Missouri Last Will And Testament PDF WordFree Missouri Last Will And Testament PDF Word

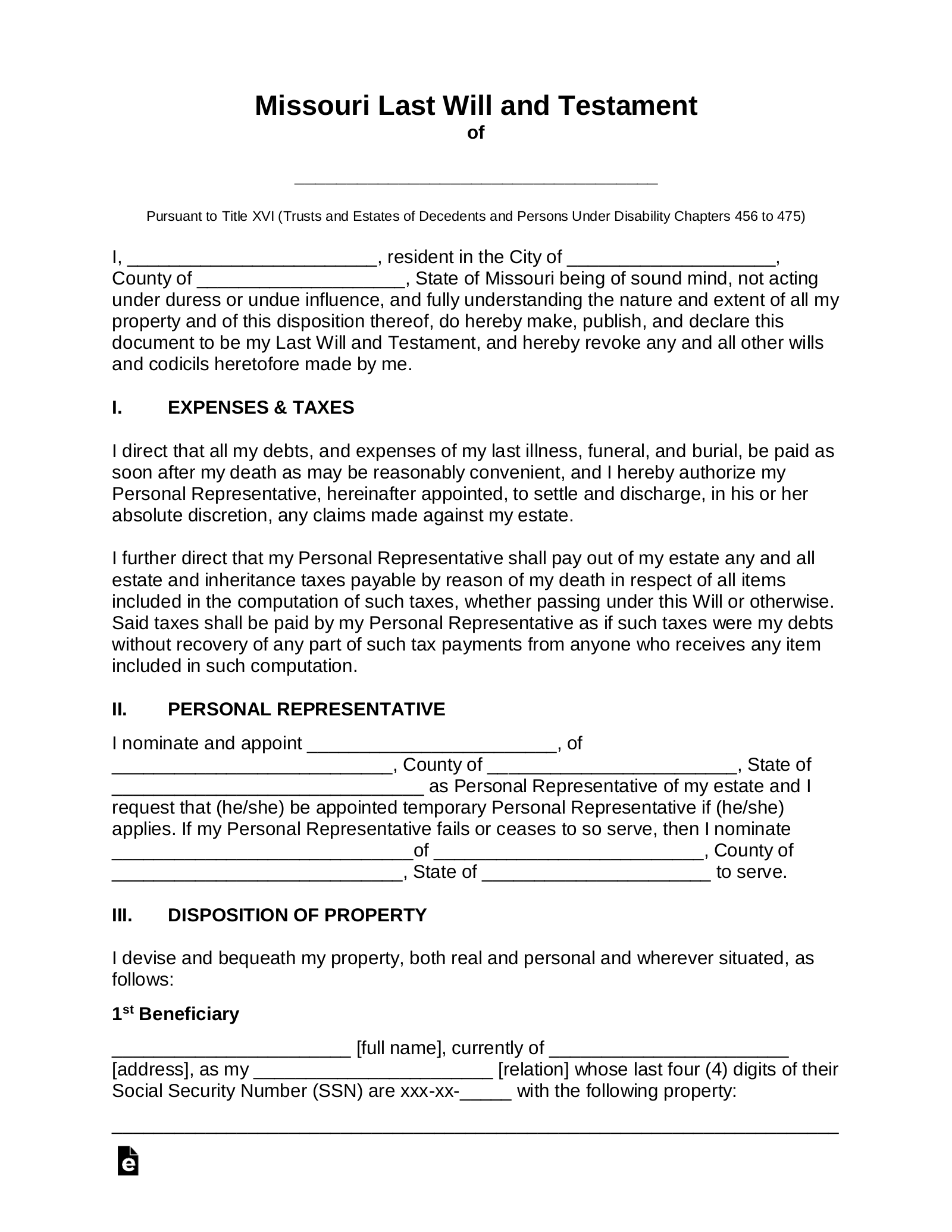
Free Missouri Last Will And Testament Template PDF Word EFormsFree Missouri Last Will And Testament Template PDF Word EForms

Managing payroll tasks doesn’t have to be overwhelming. A printable payroll form offers a quick, accurate, and easy-to-use method for tracking employee pay, shifts, and deductions—without the need for digital systems.

Whether you’re a small business owner, payroll manager, or independent contractor, using aprintable payroll helps ensure proper documentation. Simply access the template, print it, and fill it out by hand or edit it digitally before printing.