Skip to content

Printable Last Will And Testament Forms British Columbia

  • by

Creating a last will and testament is a crucial step in ensuring that your assets are distributed according to your wishes after you pass away. In British Columbia, having a legally binding will in place can provide peace of mind to both you and your loved ones.

While hiring a lawyer to draft your will is a common practice, it can be expensive. Fortunately, there are printable last will and testament forms available in British Columbia that can help you create a valid will without the high cost of legal fees.

46 Free Codicil To Will Forms U0026 Templates TemplateLabPrintable Last Will And Testament Forms British Columbia

These forms typically include sections where you can designate your beneficiaries, appoint an executor, outline your funeral wishes, and specify how you want your assets to be distributed. They are designed to be easy to fill out and can be customized to fit your specific needs and circumstances.

It’s important to note that using a printable last will and testament form does not negate the need for witnesses to sign the document. In British Columbia, a will must be signed by the testator (the person making the will) in the presence of two witnesses who are not beneficiaries. This helps to ensure the validity of the will and prevent any disputes after the testator’s death.

Once your will is completed and signed, it is recommended to keep it in a safe and secure place, such as a safety deposit box or with your lawyer. You should also review and update your will regularly to reflect any changes in your life circumstances, such as marriage, divorce, or the birth of children.

By utilizing printable last will and testament forms in British Columbia, you can take control of your estate planning in a cost-effective and efficient manner. Whether you have a large estate or few assets, having a legally binding will in place can provide clarity and peace of mind for you and your loved ones.

Don’t wait until it’s too late – consider using printable last will and testament forms in British Columbia to ensure that your final wishes are carried out in the way you desire.


Save and Print Printable Last Will And Testament Forms British Columbia

Payroll printable are ideal for companies that prefer physical records or need physical copies for audit purposes. Most forms include fields for staff name, date range, gross pay, taxes, and net pay—making them both complete and user-friendly.

Start simplifying your payment tracking today with a trusted payroll printable. Reduce admin effort, minimize mistakes, and maintain clear records—all while keeping your employee payment data organized.

Free Last Will And Testament Template Templates 2 PDF WordFree Last Will And Testament Template Templates 2 PDF Word

Free Printable Last Will And Testament Templates PDF Word Free Printable Last Will And Testament Templates PDF Word

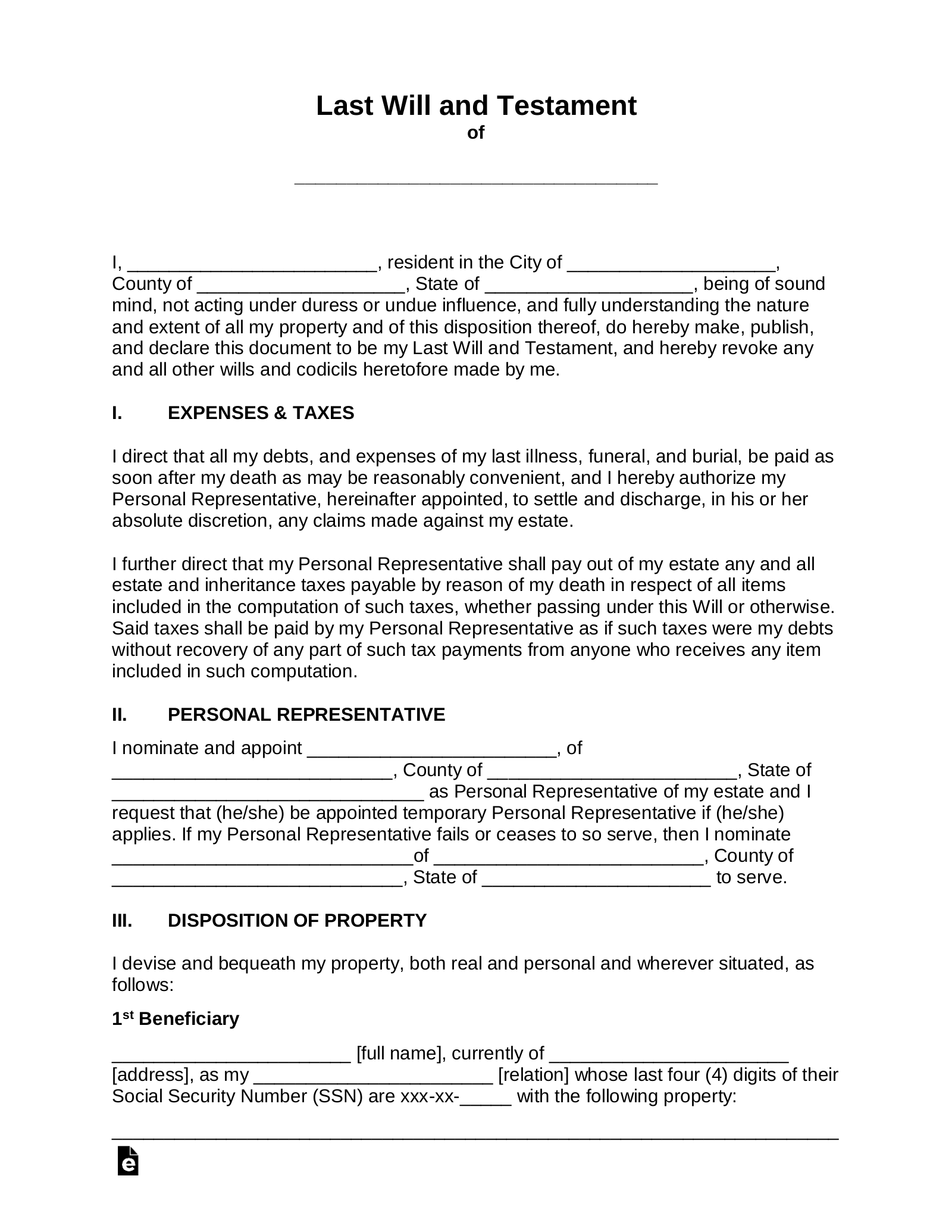
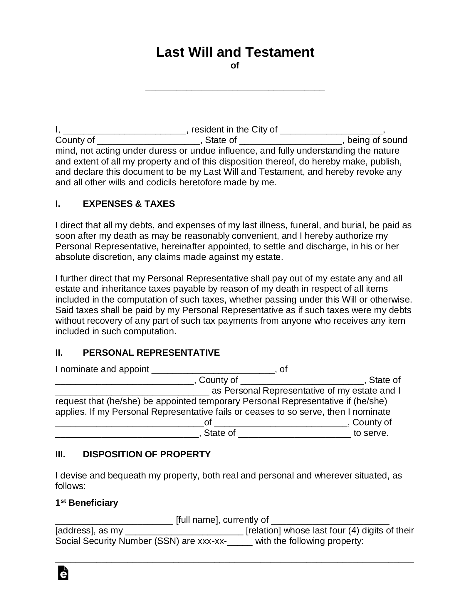
Free Last Will And Testament Will PDF Word EFormsFree Last Will And Testament Will PDF Word EForms

39 Last Will And Testament Forms U0026 Templates TemplateLab39 Last Will And Testament Forms U0026 Templates TemplateLab

Last Will And Testament Editable Last Will And Testament Template Printable Last Will And Testament Form PDF Instant Download Digital Etsy CanadaLast Will And Testament Editable Last Will And Testament Template Printable Last Will And Testament Form PDF Instant Download Digital Etsy Canada

Handling employee payments doesn’t have to be complicated. A payroll template offers a quick, accurate, and easy-to-use method for tracking employee pay, hours, and taxes—without the need for complex software.

Whether you’re a small business owner, HR professional, or sole proprietor, using aprintable payroll form helps ensure proper documentation. Simply get the template, produce a hard copy, and complete it by hand or edit it digitally before printing.