Skip to content

Printable Last Will And Testament Form Wisconsin Free

  • by

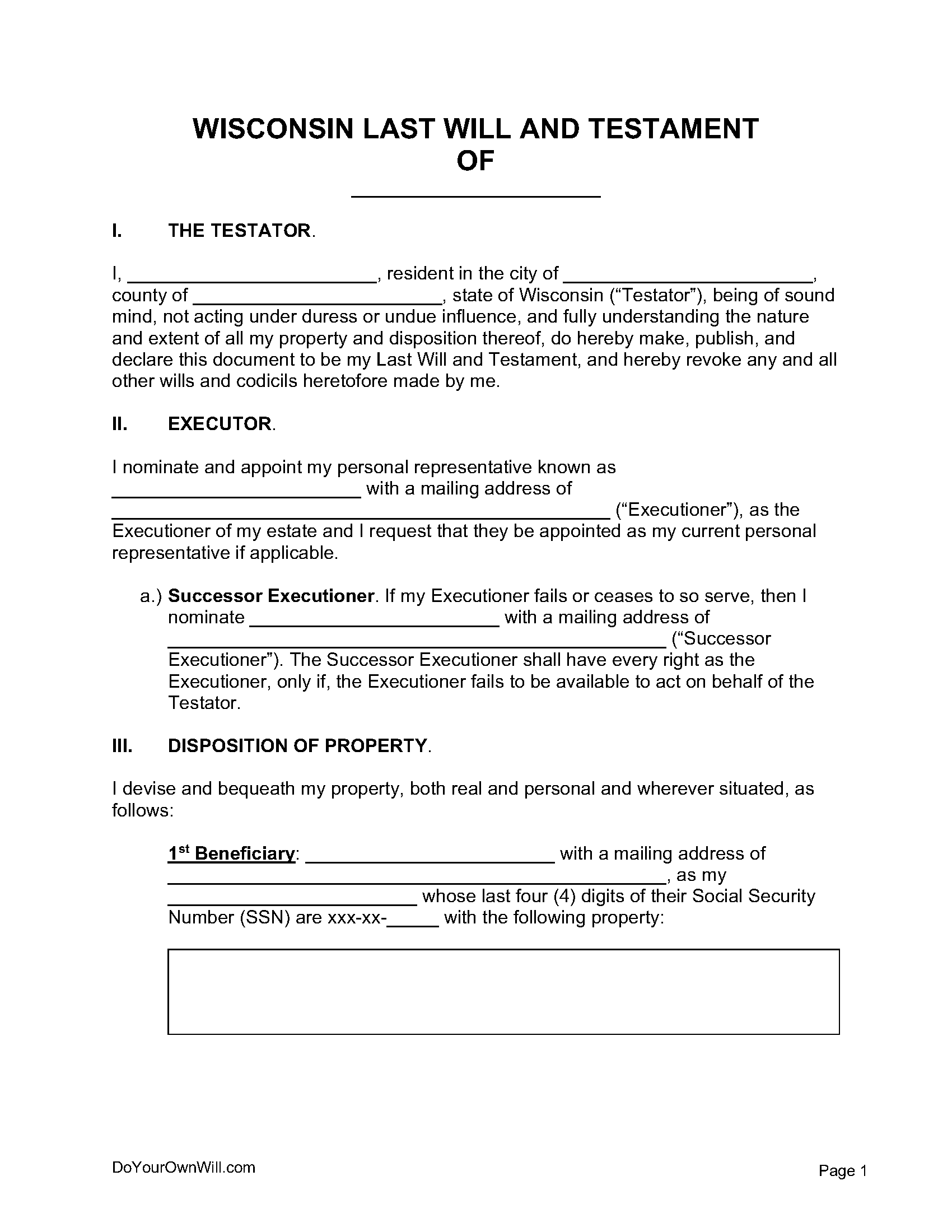
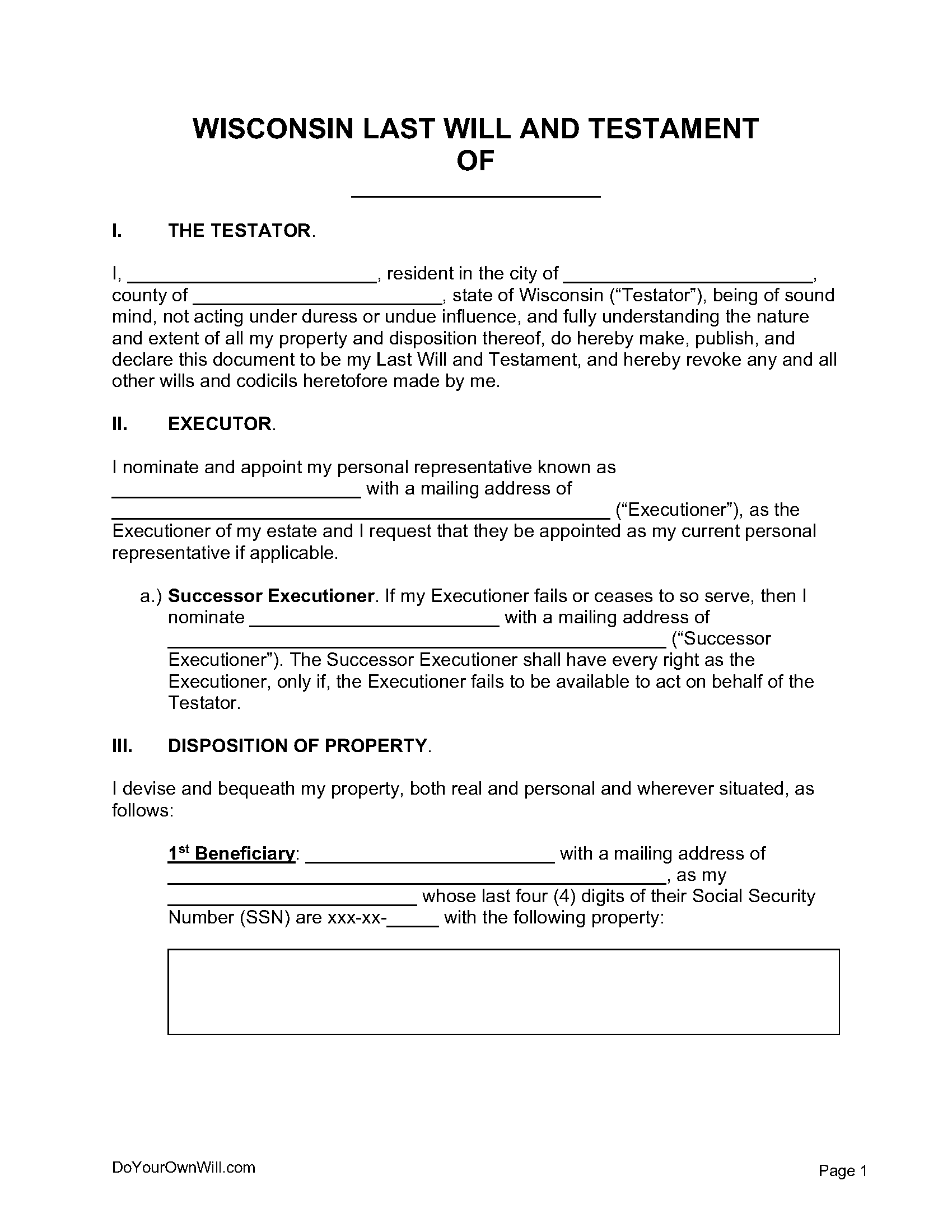
Creating a last will and testament is an important step in ensuring that your wishes are carried out after you pass away. In the state of Wisconsin, having a legally valid will is crucial to protect your assets and provide for your loved ones. Fortunately, there are resources available to help you create a will, including printable forms that you can use for free.

By using a printable last will and testament form in Wisconsin, you can easily outline how you want your assets to be distributed, designate guardians for any minor children, and appoint an executor to carry out your wishes. This form allows you to customize your will to fit your specific needs and preferences, ensuring that your estate is handled according to your wishes.

Free Wisconsin Will Form CocoSignPrintable Last Will And Testament Form Wisconsin Free

One of the benefits of using a printable last will and testament form in Wisconsin is that it is a cost-effective and convenient option for creating a will. You can easily download the form online, fill it out at your own pace, and have it notarized to make it legally binding. This eliminates the need for expensive legal fees and allows you to create a will on your own terms.

It is important to keep in mind that while a printable last will and testament form in Wisconsin is a useful tool for creating a will, it is still recommended to seek the advice of an attorney to ensure that your will is legally valid and accurately reflects your wishes. An attorney can provide guidance on complex estate planning issues and help you avoid potential pitfalls that could invalidate your will.

In conclusion, a printable last will and testament form in Wisconsin is a valuable resource for individuals who want to create a will without incurring high costs. By using this form, you can ensure that your assets are distributed according to your wishes and that your loved ones are provided for after you pass away. While using a printable form is a good starting point, it is always advisable to consult with an attorney to ensure that your will is legally sound and properly executed.


Get and Print Printable Last Will And Testament Form Wisconsin Free

Printable payroll are ideal for businesses that prefer paper documentation or need hard copies for audit purposes. Most forms include fields for employee name, pay period, gross pay, withholdings, and net pay—making them both complete and practical.

Begin streamlining your payment tracking today with a trusted printable payroll template. Reduce admin effort, reduce errors, and maintain clear records—all while keeping your payroll records organized.

Free Wisconsin Will Form CocoSignFree Wisconsin Will Form CocoSign

Free Wisconsin Last Will And Testament Templates Word PDF Free Wisconsin Last Will And Testament Templates Word PDF

Wisconsin Will Forms Last Will And Testament Living Will Archives Will Forms Will FormsWisconsin Will Forms Last Will And Testament Living Will Archives Will Forms Will Forms

Wisconsin Last Will And Testament Templates Free Word PDF ODT Worksheets LibraryWisconsin Last Will And Testament Templates Free Word PDF ODT Worksheets Library

Free Wisconsin Last Will And Testament Form PDF WORD ODTFree Wisconsin Last Will And Testament Form PDF WORD ODT

Handling payroll tasks doesn’t have to be complicated. A payroll printable offers a quick, reliable, and user-friendly method for tracking employee pay, work time, and withholdings—without the need for digital systems.

Whether you’re a small business owner, HR professional, or sole proprietor, using apayroll printable helps ensure proper documentation. Simply get the template, print it, and complete it by hand or edit it digitally before printing.