Skip to content

Printable Last Will And Testament Form Pdf

  • by

Creating a last will and testament is an important part of estate planning. It ensures that your final wishes are carried out and that your assets are distributed according to your wishes. A printable last will and testament form in PDF format provides a convenient and easily accessible way to draft your will.

With a printable last will and testament form in PDF, you can fill in the necessary information such as your name, beneficiaries, assets, and any specific instructions you may have. Once completed, you can easily print out the form and have it notarized to make it legally binding.

39 Last Will And Testament Forms U0026 Templates TemplateLabPrintable Last Will And Testament Form Pdf

When using a printable last will and testament form in PDF, it is important to carefully review and update it regularly to ensure it reflects your current wishes and circumstances. It is also recommended to seek legal advice to ensure that your will is legally valid and complies with any relevant laws.

Having a last will and testament in place can provide peace of mind knowing that your loved ones will be taken care of and your assets will be distributed as you intended. By using a printable form in PDF format, you can easily create and update your will as needed.

Overall, a printable last will and testament form in PDF is a convenient and efficient way to ensure that your final wishes are documented and legally binding. Take the time to carefully consider your wishes and draft your will to provide clarity and direction for your loved ones in the future.

Don’t wait until it’s too late, start planning for the future today by creating a last will and testament using a printable form in PDF format. It’s a simple and effective way to protect your assets and ensure that your wishes are carried out after you’re gone.


Get and Print Printable Last Will And Testament Form Pdf

Printable payroll template are ideal for businesses that prefer physical records or need hard copies for employee records. Most forms include fields for employee name, date range, gross pay, taxes, and final salary—making them both comprehensive and user-friendly.

Take control of your payroll system today with a trusted printable payroll template. Save time, reduce errors, and stay organized—all while keeping your payroll records organized.

Last Will And Testament Editable Last Will And Testament Template Printable Last Will And Testament Form PDF Instant Download Digital EtsyLast Will And Testament Editable Last Will And Testament Template Printable Last Will And Testament Form PDF Instant Download Digital Etsy

Free Printable Last Will And Testament Templates PDF Word Free Printable Last Will And Testament Templates PDF Word

39 Last Will And Testament Forms U0026 Templates TemplateLab39 Last Will And Testament Forms U0026 Templates TemplateLab

Free Last Will And Testament Template Templates 2 PDF WordFree Last Will And Testament Template Templates 2 PDF Word

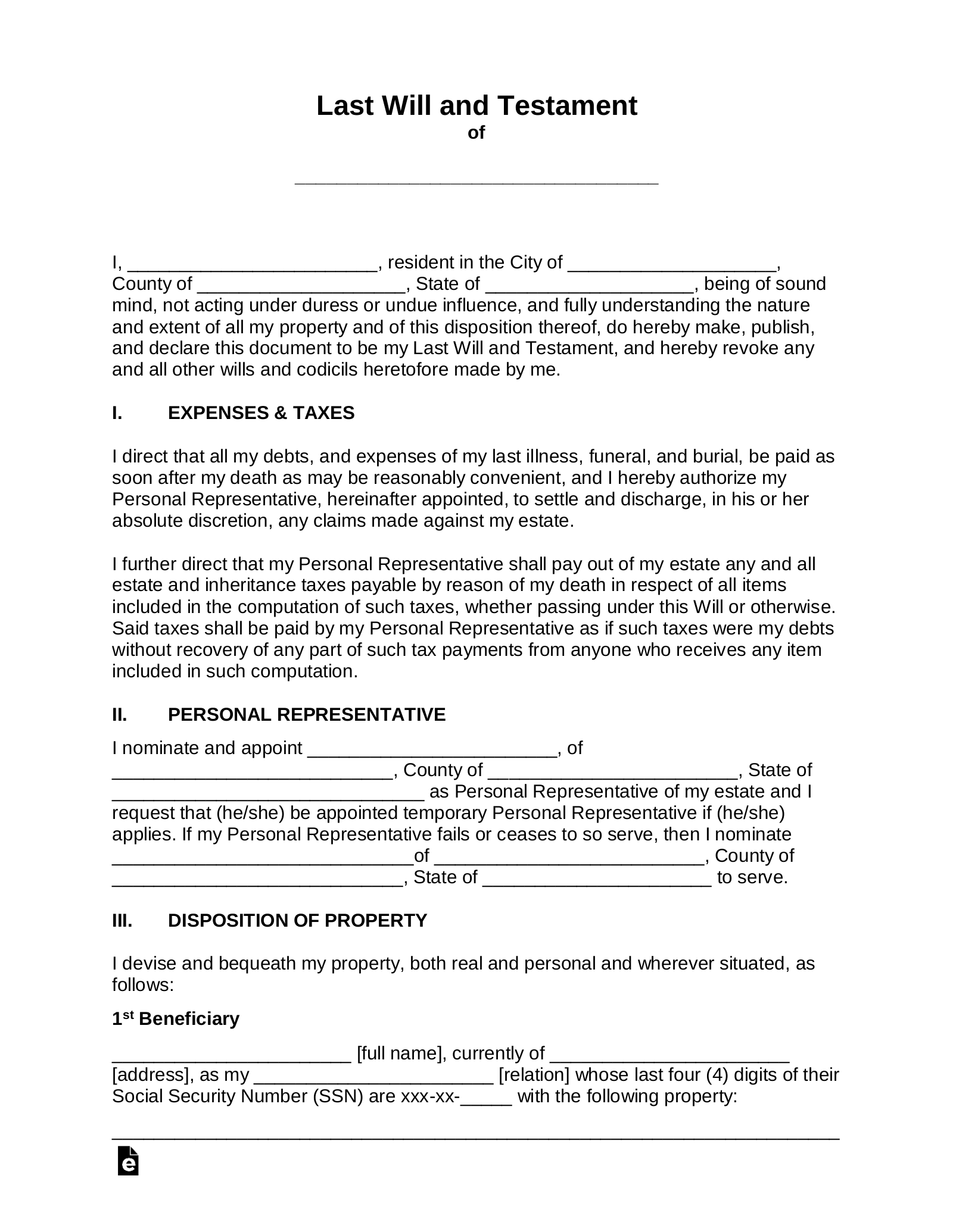
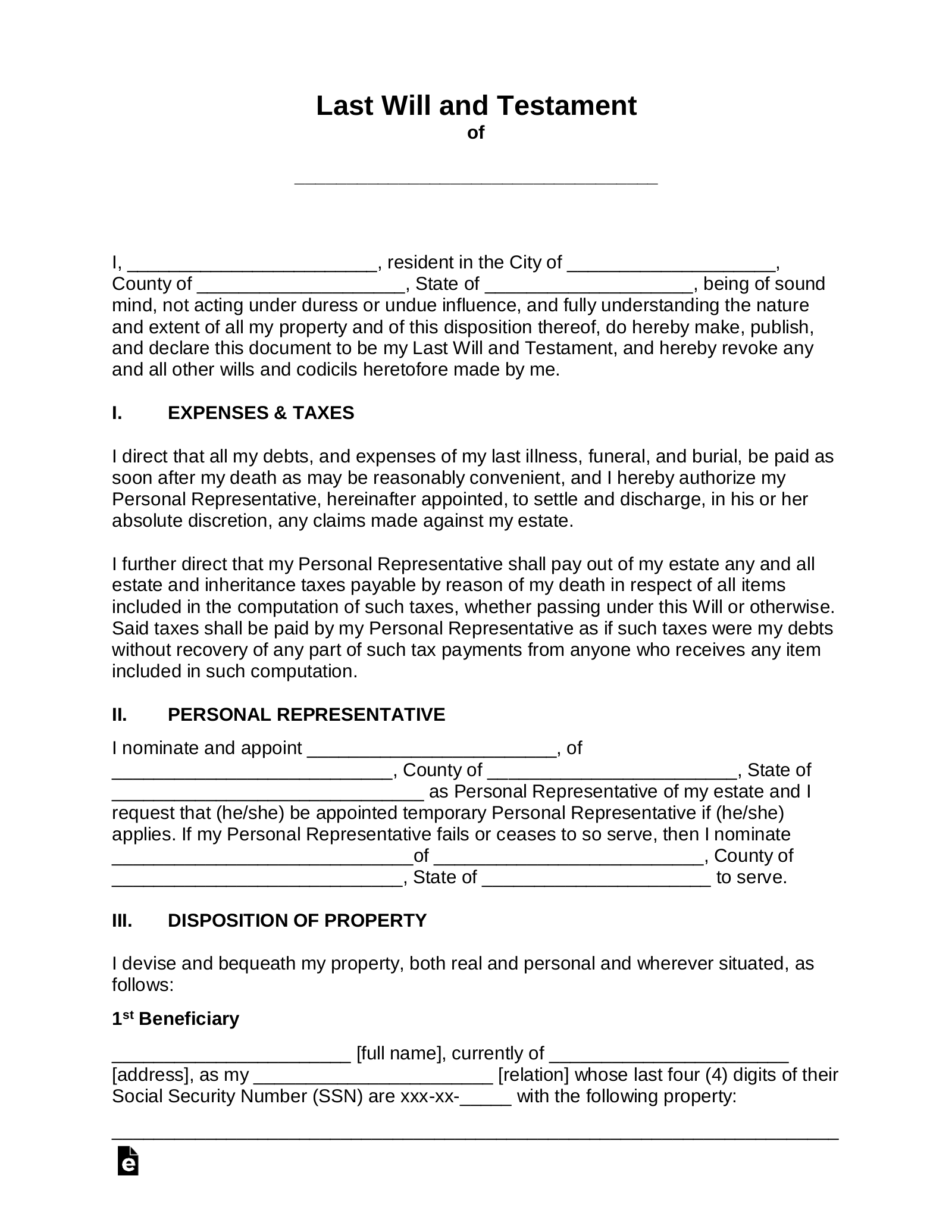
Free Last Will And Testament Will PDF Word EFormsFree Last Will And Testament Will PDF Word EForms

Handling payroll tasks doesn’t have to be difficult. A printable payroll template offers a speedy, accurate, and user-friendly method for tracking salaries, work time, and deductions—without the need for complex software.

Whether you’re a startup founder, HR professional, or sole proprietor, using aPrintable Last Will And Testament Form Pdf helps ensure compliance with regulations. Simply access the template, produce a hard copy, and complete it by hand or type directly into the file before printing.