Skip to content

Printable Forms For Last Will And Testament For Tn Free

  • by

Creating a Last Will and Testament is an important step in ensuring that your wishes are carried out after your passing. In the state of Tennessee, having a legally valid will in place can help protect your assets and provide peace of mind to your loved ones. However, the process of creating a will can be daunting and expensive. That’s where printable forms for Last Will and Testament for TN free can be a valuable resource.

Printable forms for Last Will and Testament for TN free offer a convenient and cost-effective solution for individuals who want to create a will without hiring an attorney. These forms typically include all the necessary sections to outline your assets, designate beneficiaries, appoint an executor, and specify any other wishes you may have regarding your estate. By using these forms, you can customize your will to suit your specific needs and ensure that your wishes are clearly documented.

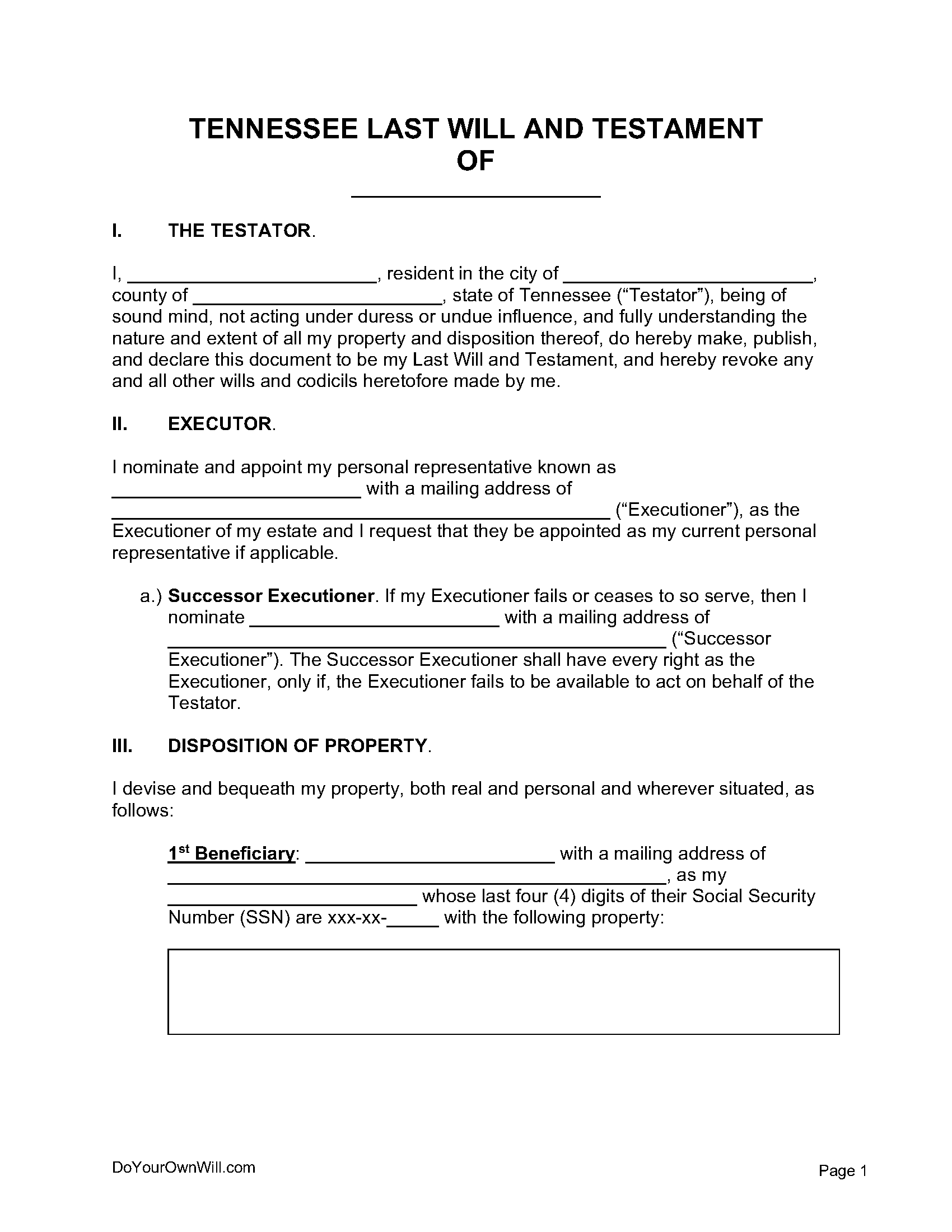
Tennessee Last Will And Testament Template In Google Docs Word Printable Forms For Last Will And Testament For Tn Free

One of the key benefits of using printable forms for Last Will and Testament for TN free is the flexibility they offer. You can easily fill in the blanks and customize the document to reflect your unique circumstances. Whether you have a large estate or simple assets to distribute, these forms can be tailored to meet your needs. Additionally, printable forms make the process of creating a will more accessible to individuals who may not have the resources to hire an attorney.

While printable forms for Last Will and Testament for TN free can be a valuable tool, it’s important to ensure that the document is legally valid in the state of Tennessee. It’s recommended to review the form with an attorney to ensure that it meets all the necessary legal requirements and is properly executed. By taking this extra step, you can have peace of mind knowing that your will is legally binding and will be upheld in court.

In conclusion, printable forms for Last Will and Testament for TN free offer a convenient and cost-effective solution for individuals who want to create a will without the expense of hiring an attorney. By using these forms, you can ensure that your wishes are clearly documented and your assets are distributed according to your wishes. However, it’s important to review the document with an attorney to ensure that it meets all legal requirements. With the right preparation, you can have peace of mind knowing that your estate will be handled according to your wishes.


Get and Print Printable Forms For Last Will And Testament For Tn Free

Printable Forms For Last Will And Testament For Tn Free are ideal for companies that prefer non-digital systems or need hard copies for audit purposes. Most forms include fields for staff name, date range, gross pay, withholdings, and final salary—making them both comprehensive and easy to use.

Take control of your payroll process today with a trusted payroll template. Save time, reduce errors, and maintain clear records—all while keeping your financial logs organized.

Last Will And Testament Last Will And Testament Printable Simple Last Will Fillable Last Will And Testament Template Last Will TestamentLast Will And Testament Last Will And Testament Printable Simple Last Will Fillable Last Will And Testament Template Last Will Testament

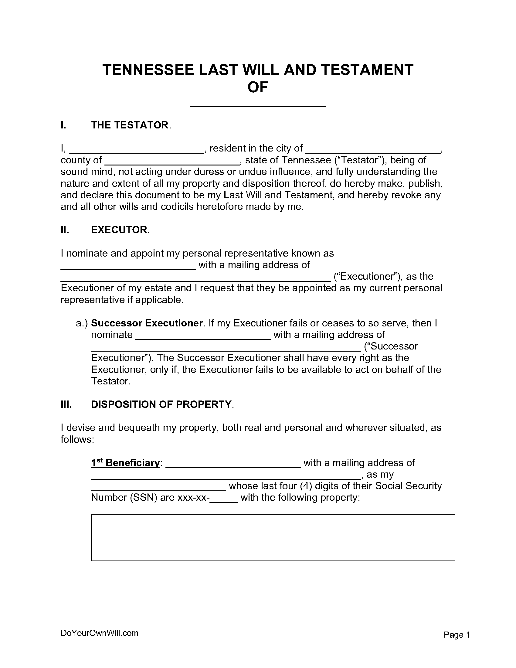
Tennessee Last Will And Testament Templates Free Word PDF ODT Tennessee Last Will And Testament Templates Free Word PDF ODT

Tennessee Will Forms Last Will And Testament Living Will Tennessee Will Forms Last Will And Testament Living Will

Free Tennessee Last Will U0026 Testament PDF WordFree Tennessee Last Will U0026 Testament PDF Word

Free Tennessee Last Will And Testament Form PDF WORD ODTFree Tennessee Last Will And Testament Form PDF WORD ODT

Handling payroll tasks doesn’t have to be complicated. A printable payroll template offers a speedy, reliable, and user-friendly method for tracking wages, work time, and taxes—without the need for complicated tools.

Whether you’re a small business owner, HR professional, or independent contractor, using apayroll printable helps ensure proper documentation. Simply get the template, print it, and complete it by hand or edit it digitally before printing.