Skip to content

Printable Form Last Will And Testament In Nm

  • by

Creating a last will and testament is an essential part of estate planning. It allows you to specify how you want your assets to be distributed after your death, ensuring that your wishes are carried out and providing peace of mind for your loved ones. In New Mexico, having a legally valid will can help avoid potential conflicts and ensure that your estate is handled according to your wishes.

One option for creating a last will and testament in New Mexico is to use a printable form. These forms are readily available online and can be a convenient and cost-effective way to ensure that your wishes are documented. However, it is important to ensure that the form you use complies with New Mexico state laws to ensure its validity.

Legal Last Will And Testament Template In Word Google Docs Download TemplatePrintable Form Last Will And Testament In Nm

When using a printable form for your last will and testament, it is important to carefully consider all aspects of your estate. This includes specifying how you want your assets to be distributed, naming an executor to handle your estate, and designating guardians for any minor children. It is also important to review and update your will regularly to reflect any changes in your circumstances or wishes.

While using a printable form can be a convenient option, it is important to consult with an attorney to ensure that your will is legally valid and accurately reflects your wishes. An attorney can provide guidance on New Mexico state laws and help you navigate any complex or unique aspects of your estate. Additionally, an attorney can help ensure that your will is properly executed and stored to prevent any potential challenges or disputes.

In conclusion, having a last will and testament is an important part of estate planning in New Mexico. Using a printable form can be a convenient option for documenting your wishes, but it is important to ensure that the form complies with state laws and accurately reflects your intentions. Consulting with an attorney can provide peace of mind and ensure that your estate is handled according to your wishes.


Download and Print Printable Form Last Will And Testament In Nm

Payroll printable are ideal for teams that prefer paper documentation or need physical copies for employee records. Most forms include fields for staff name, date range, total earnings, withholdings, and final salary—making them both complete and easy to use.

Start simplifying your payment tracking today with a trusted payroll template. Reduce admin effort, reduce errors, and stay organized—all while keeping your employee payment data professional.

New Mexico Will Forms Last Will And Testament Living Will Archives Will Forms Will FormsNew Mexico Will Forms Last Will And Testament Living Will Archives Will Forms Will Forms

New Mexico Last Will And Testament Templates Free Word PDF ODT New Mexico Last Will And Testament Templates Free Word PDF ODT

New Mexico Last Will And Testament Template Download Printable PDF TemplaterollerNew Mexico Last Will And Testament Template Download Printable PDF Templateroller

Free New Mexico Last Will And Testament Template PDF Word PDF WordFree New Mexico Last Will And Testament Template PDF Word PDF Word

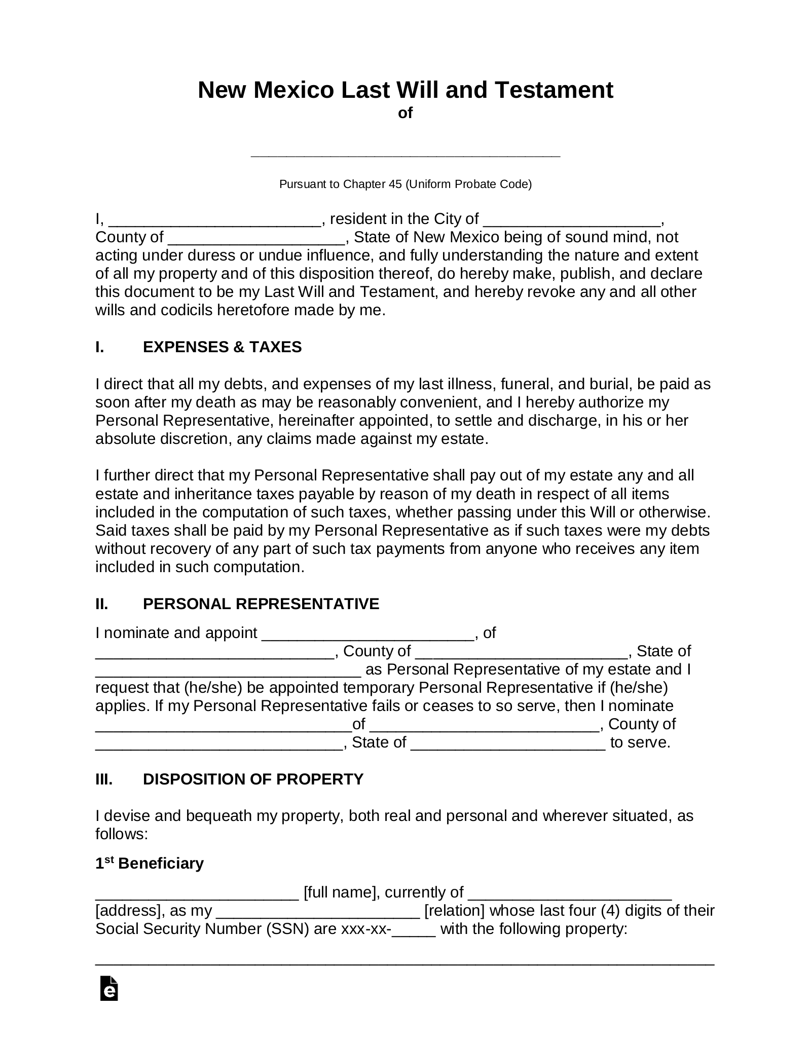
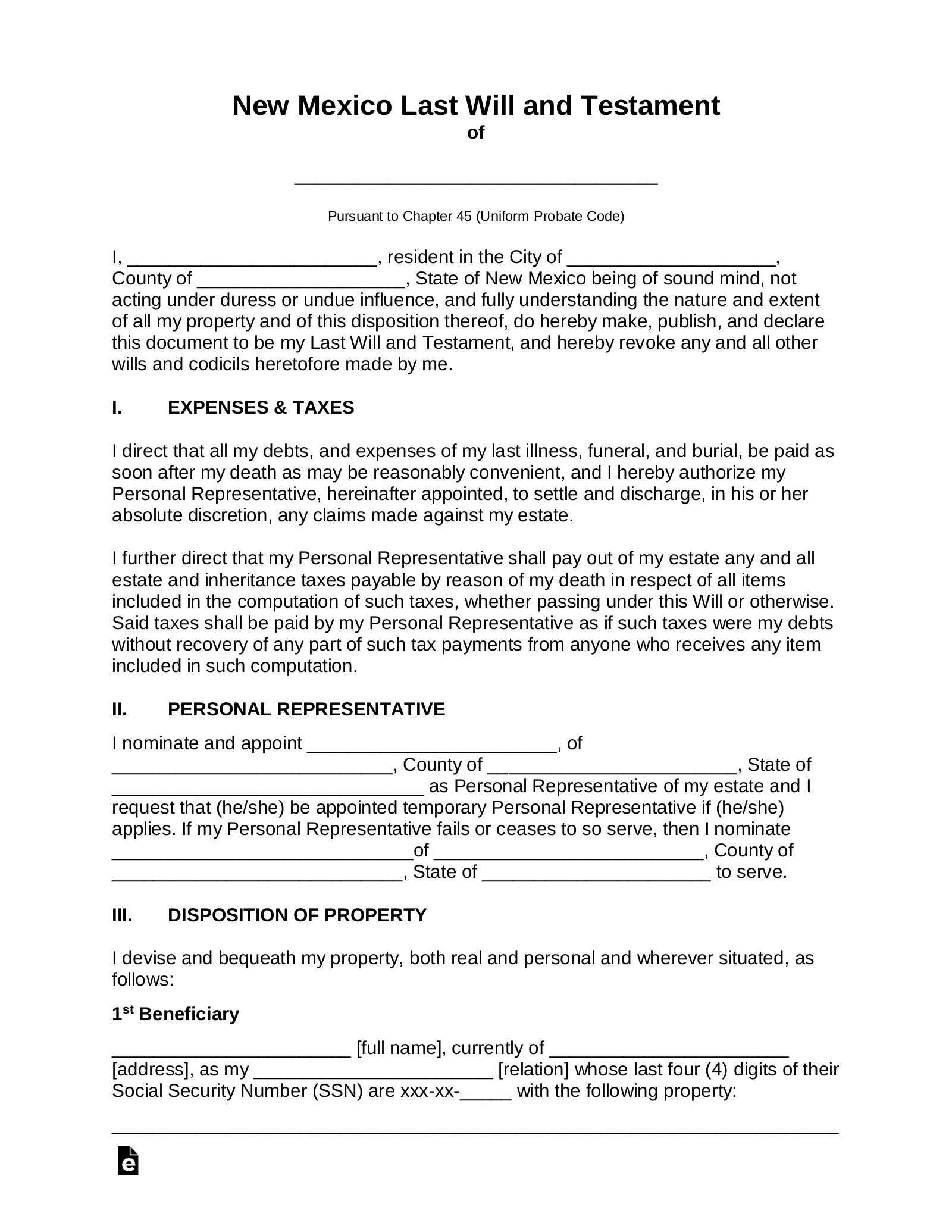
Free New Mexico Last Will And Testament Template PDF Word EFormsFree New Mexico Last Will And Testament Template PDF Word EForms

Managing payroll tasks doesn’t have to be difficult. A printable payroll form offers a speedy, reliable, and straightforward method for tracking salaries, work time, and deductions—without the need for digital systems.

Whether you’re a small business owner, administrator, or sole proprietor, using aprintable payroll helps ensure proper documentation. Simply access the template, print it, and fill it out by hand or type directly into the file before printing.