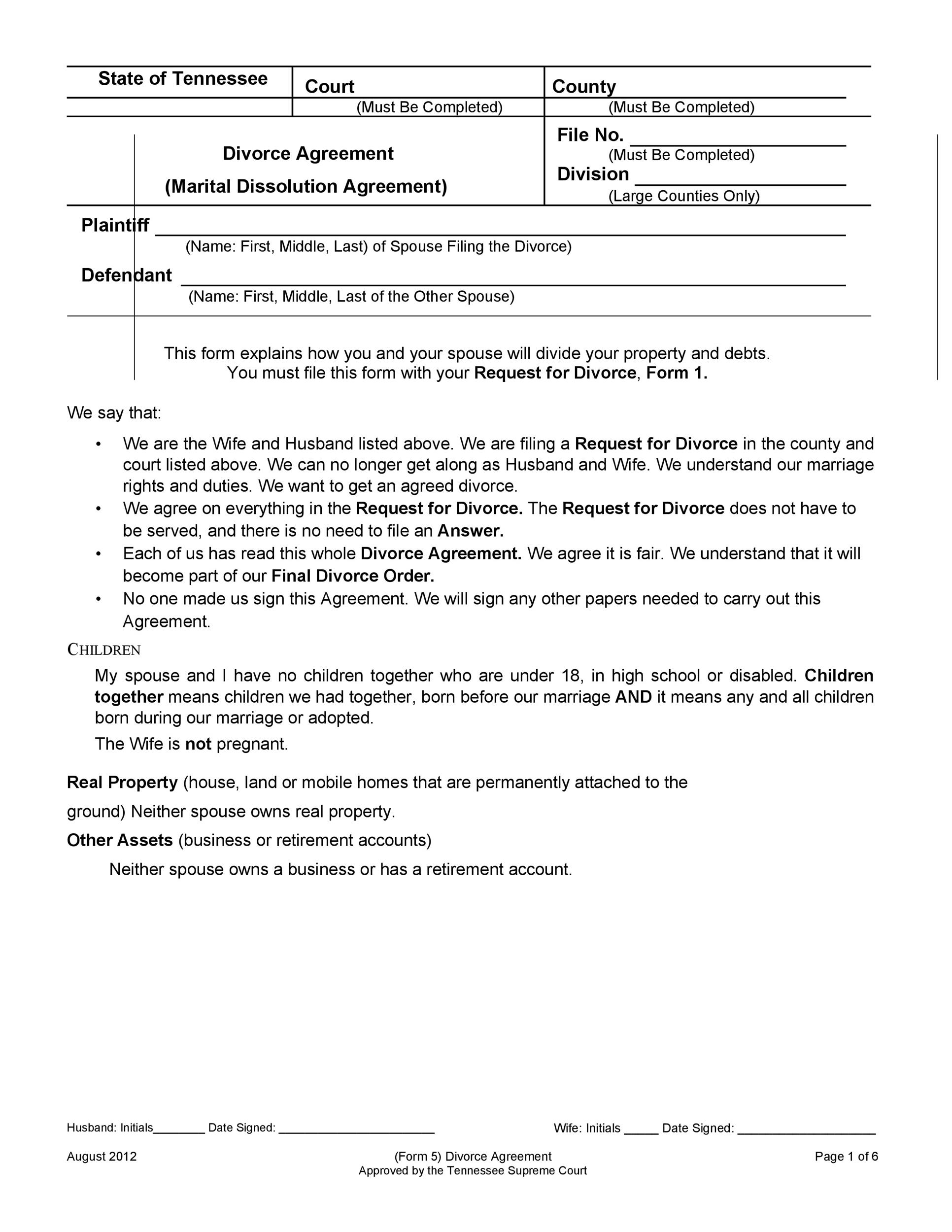
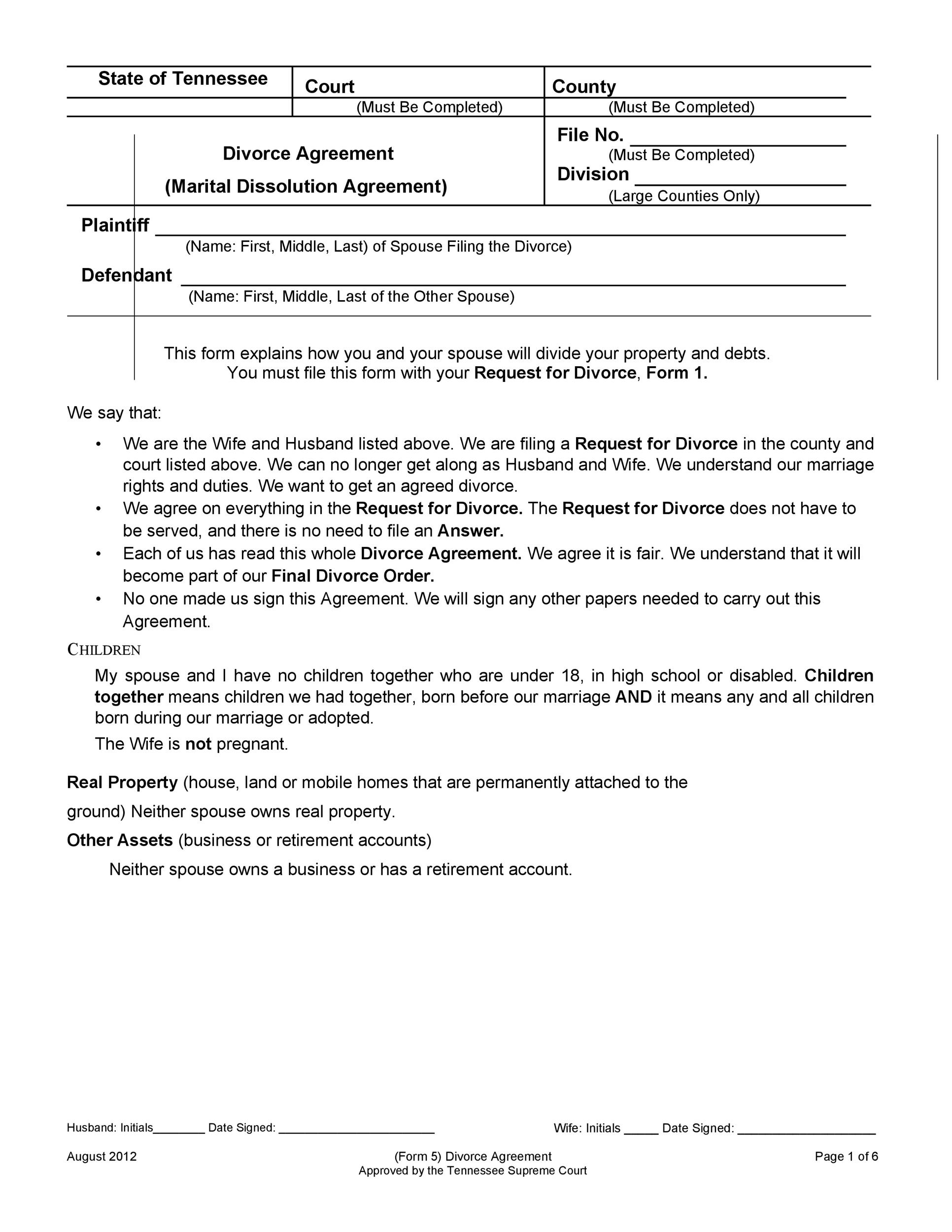
Going through a divorce can be a challenging and emotional process. However, having the necessary forms ready can help streamline the process and make it more manageable. In Texas, there are specific forms that need to be filled out in order to file for divorce. These forms outline important information such as asset division, child custody, and alimony agreements.
Printable divorce forms for Texas can be easily found online or at your local courthouse. These forms are essential for initiating the divorce process and ensuring that all necessary information is provided to the court. By having these forms ready, you can save time and money on legal fees and expedite the divorce proceedings.
When filling out the divorce forms, it is important to provide accurate and truthful information. Any discrepancies or inaccuracies could prolong the divorce process and lead to additional legal complications. It is recommended to seek legal advice or assistance when filling out these forms to ensure that everything is in order.
Some of the common forms required for a divorce in Texas include the Petition for Divorce, Waiver of Service, Final Decree of Divorce, and Child Support Order. These forms vary depending on the specific circumstances of the divorce, such as whether there are children involved or if the divorce is contested or uncontested.
Once all the necessary forms have been filled out, they must be filed with the appropriate court in Texas. The court will then review the forms and schedule a hearing to finalize the divorce. Having all the required forms ready and organized can help expedite the court process and ensure a smoother divorce proceeding.
In conclusion, printable divorce forms for Texas are essential for anyone going through a divorce in the state. By having these forms ready and filled out accurately, you can expedite the divorce process and avoid unnecessary delays. It is important to seek legal advice or assistance when filling out these forms to ensure that everything is in order and to navigate the legal process effectively.
