Skip to content

Last Will And Testament Oklahoma Printable Form

  • by

Having a Last Will and Testament is essential to ensure that your wishes are carried out after your passing. In Oklahoma, there are specific laws and requirements that must be followed when creating a valid will. One option available to individuals is to use a printable form to draft their will.

Using a Last Will and Testament Oklahoma printable form can be a convenient and cost-effective way to create a legal document that outlines how your assets and property will be distributed upon your death. These forms typically include sections for naming beneficiaries, appointing an executor, and specifying any final wishes or instructions.

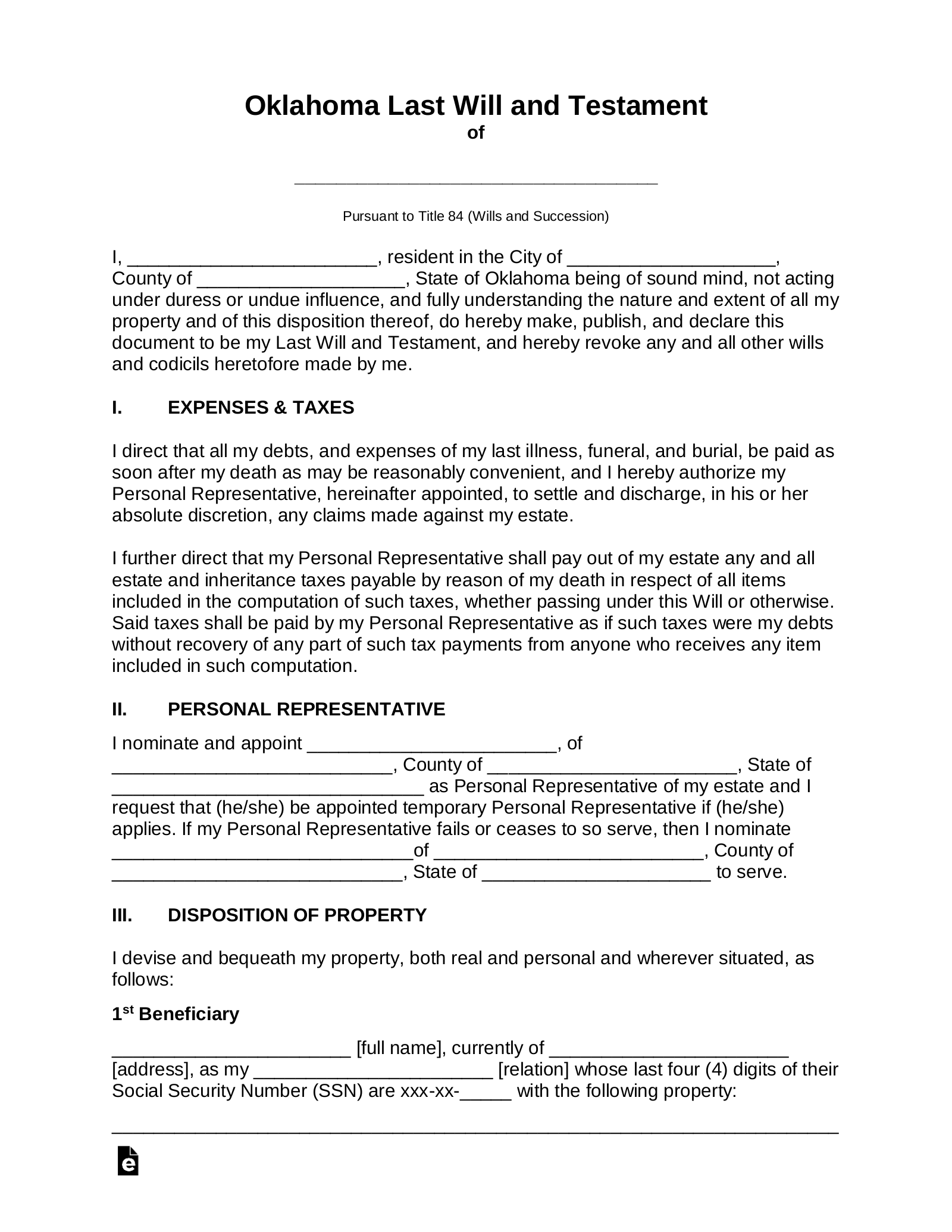
Free Last Will And Testament Templates Forms Word PDFLast Will And Testament Oklahoma Printable Form

When using a printable form to create your will, it is important to ensure that it meets all legal requirements in the state of Oklahoma. The form should be signed in the presence of witnesses and notarized to make it legally binding. It is also recommended to review the document periodically and make any necessary updates as life circumstances change.

While using a printable form can be a simple and straightforward way to create a will, it may not be suitable for everyone. Individuals with complex estates or specific wishes may benefit from seeking the guidance of an attorney who specializes in estate planning. An attorney can provide personalized advice and ensure that your will accurately reflects your intentions.

Ultimately, creating a Last Will and Testament is an important step in planning for the future and providing peace of mind for yourself and your loved ones. Whether you choose to use a printable form or consult with an attorney, taking the time to create a will can help ensure that your assets are distributed according to your wishes.

By using a Last Will and Testament Oklahoma printable form, individuals can take control of their estate planning and ensure that their final wishes are carried out. It is important to carefully consider your options and seek legal advice if needed to create a comprehensive and legally binding will.


Download and Print Last Will And Testament Oklahoma Printable Form

Printable payroll are ideal for businesses that prefer physical records or need printed versions for audit purposes. Most forms include fields for employee name, date range, gross pay, withholdings, and net pay—making them both comprehensive and user-friendly.

Take control of your payroll process today with a trusted payroll printable. Save time, reduce errors, and maintain clear records—all while keeping your employee payment data organized.

Oklahoma Will Forms Last Will And Testament Living Will Archives Will Forms Will FormsOklahoma Will Forms Last Will And Testament Living Will Archives Will Forms Will Forms

Oklahoma Last Will And Testament Template Download Printable PDF TemplaterollerOklahoma Last Will And Testament Template Download Printable PDF Templateroller

Oklahoma Last Will And Testament Templates Free Word PDF ODT Oklahoma Last Will And Testament Templates Free Word PDF ODT

Free Oklahoma Last Will And Testament Template PDF WordFree Oklahoma Last Will And Testament Template PDF Word

Free Oklahoma Last Will And Testament Template PDF Word EFormsFree Oklahoma Last Will And Testament Template PDF Word EForms

Managing payroll tasks doesn’t have to be overwhelming. A printable payroll offers a fast, dependable, and straightforward method for tracking employee pay, work time, and withholdings—without the need for complicated tools.

Whether you’re a freelancer, administrator, or independent contractor, using aLast Will And Testament Oklahoma Printable Form helps ensure accurate record-keeping. Simply access the template, print it, and fill it out by hand or edit it digitally before printing.