Skip to content

Irs Schedule B Printable Form

  • by

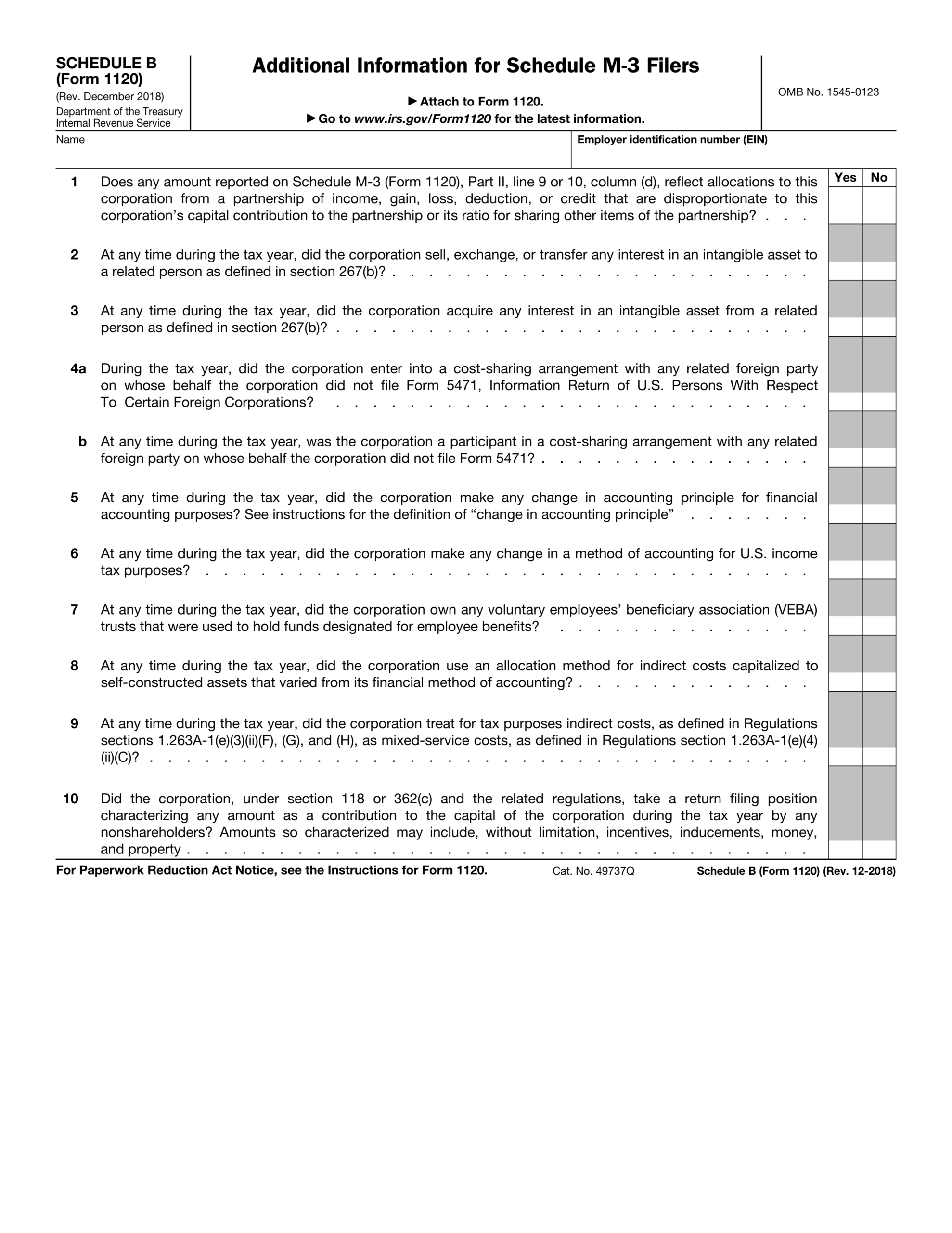
IRS Schedule B is a form used to report interest and dividend income for tax purposes. This form is typically required for individuals who receive more than $1,500 in interest or dividend income during the tax year. It is important to accurately report this income on your tax return to avoid any potential penalties or audits from the IRS.

Having a printable version of Schedule B can be helpful for individuals who prefer to fill out their tax forms by hand, or for those who may not have access to a computer or tax software. You can easily find a printable version of IRS Schedule B on the IRS website or through various tax preparation websites.

Form 941 Schedule B Print And Sign Form Online PDFlinerIrs Schedule B Printable Form

When filling out Schedule B, be sure to accurately report all interest and dividend income, including any income received from bank accounts, investments, or other financial assets. Be sure to double-check all information before submitting your tax return to avoid any errors that could lead to additional taxes or penalties.

It is important to note that Schedule B may also require additional forms or schedules depending on your individual tax situation. Be sure to consult with a tax professional or refer to the IRS instructions for Schedule B to ensure you are accurately reporting all income and meeting all requirements.

Once you have completed Schedule B, you can attach it to your tax return when filing electronically or mail it along with your paper return. Be sure to keep a copy of Schedule B for your records in case you need to reference it in the future or in the event of an IRS audit.

In conclusion, IRS Schedule B is an important form for reporting interest and dividend income on your tax return. Having a printable version of this form can be helpful for those who prefer to fill out their tax forms manually. Be sure to accurately report all income and consult with a tax professional if you have any questions or concerns about completing Schedule B.


Save and Print Irs Schedule B Printable Form

Printable payroll are ideal for companies that prefer physical records or need hard copies for staff files. Most forms include fields for employee name, date range, total earnings, taxes, and final salary—making them both complete and user-friendly.

Take control of your payment tracking today with a trusted printable payroll form. Reduce admin effort, reduce errors, and maintain clear records—all while keeping your employee payment data professional.

Schedule B Form 1040 2024 2025 Fill PDF GuruSchedule B Form 1040 2024 2025 Fill PDF Guru

Schedule B Form 1120 Additional Info For Schedule M 3 Filers 2024 2025 PDF GuruSchedule B Form 1120 Additional Info For Schedule M 3 Filers 2024 2025 PDF Guru

IRS Schedule B Form 1040 Sign Schedule B Online PDFlinerIRS Schedule B Form 1040 Sign Schedule B Online PDFliner

IRS Schedule B Instructions Interest And Ordinary DividendsIRS Schedule B Instructions Interest And Ordinary Dividends

Schedule B Form 1040 2024 2025 Fill PDF GuruSchedule B Form 1040 2024 2025 Fill PDF Guru

Managing employee payments doesn’t have to be difficult. A printable payroll offers a quick, dependable, and user-friendly method for tracking wages, work time, and taxes—without the need for digital systems.

Whether you’re a freelancer, administrator, or sole proprietor, using aprintable payroll helps ensure compliance with regulations. Simply access the template, print it, and complete it by hand or type directly into the file before printing.