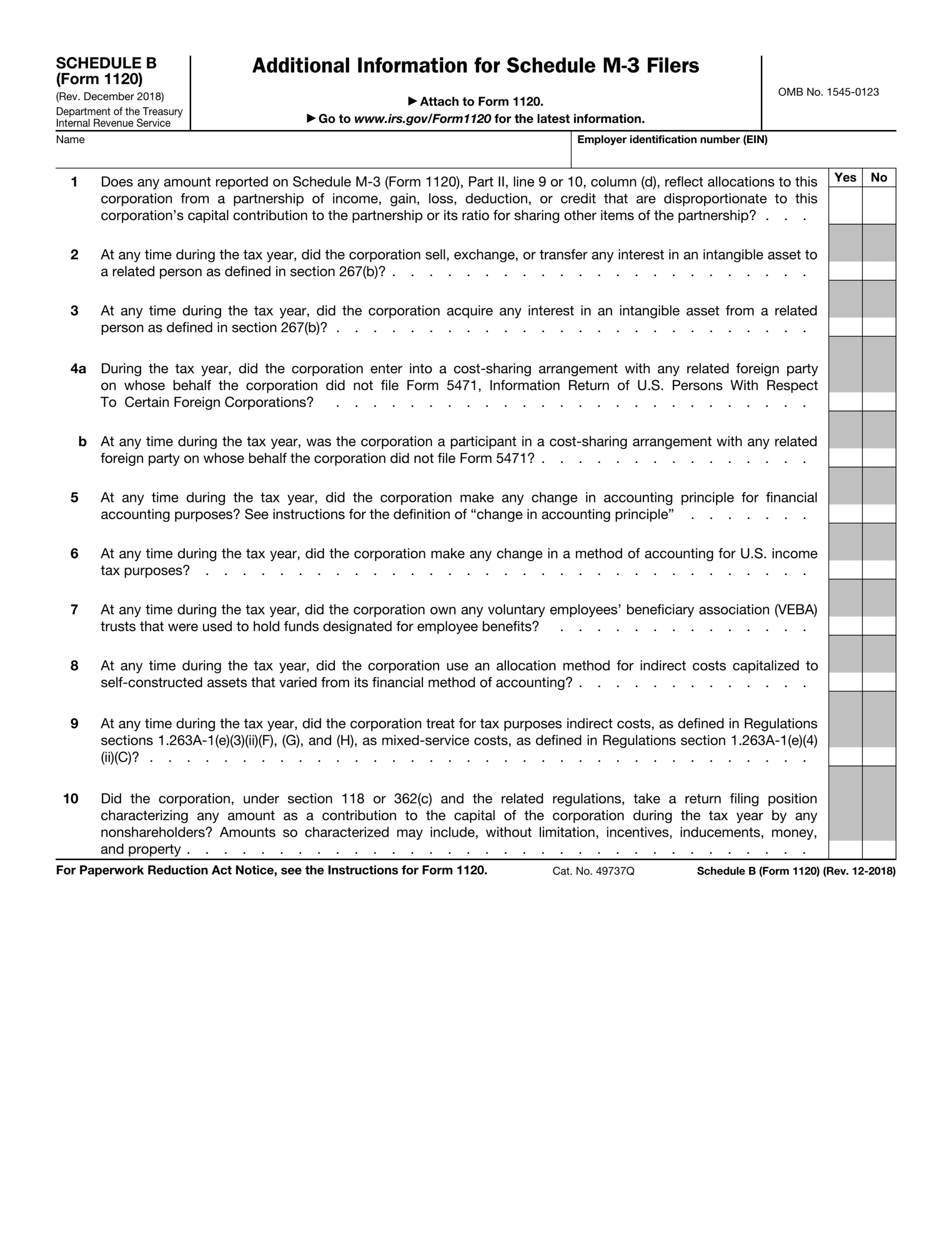
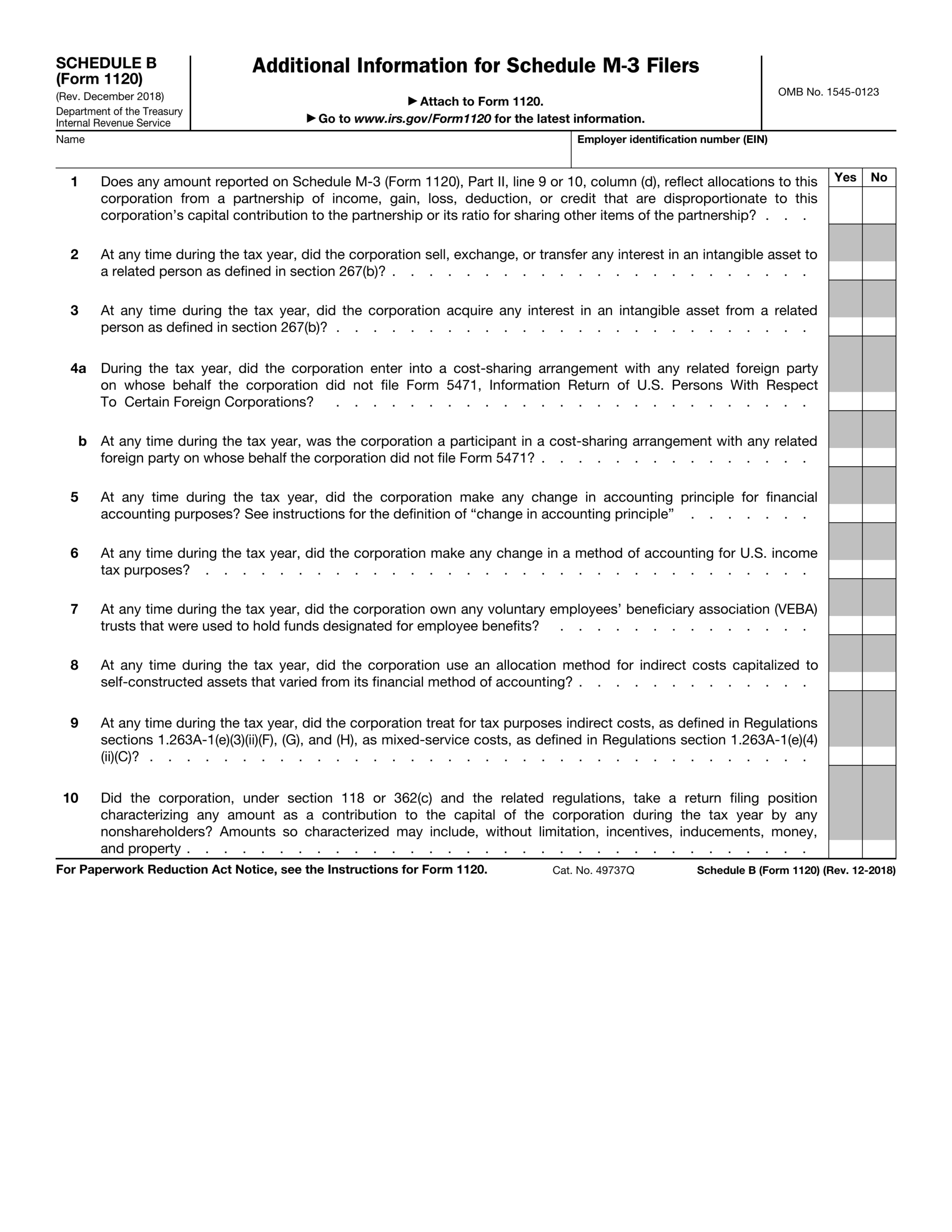
IRS Form Schedule B is a supplemental form used to report interest and ordinary dividends received throughout the tax year. It is typically filed along with Form 1040, Form 1040A, or Form 1040NR. This form is important for taxpayers who have received interest or dividend income from various sources, such as banks, credit unions, or investment accounts.
When filling out Schedule B, taxpayers must provide detailed information about each source of interest or dividend income, including the name of the payer, the amount received, and the type of income (interest or dividends). This information is used by the IRS to verify the taxpayer’s reported income and ensure that all taxable income is accounted for.
It is important to note that not all taxpayers are required to file Schedule B. Generally, if your total interest income is less than $1,500 or your total dividend income is less than $10, you may not need to file this form. However, it is always recommended to consult with a tax professional to determine your specific filing requirements.
IRS Form Schedule B is available for download on the IRS website in a printable format. Taxpayers can easily access the form, fill it out electronically or print it out, and include it with their tax return. The form includes instructions on how to complete it properly, making it user-friendly for taxpayers.
It is important to ensure that all information provided on Schedule B is accurate and complete to avoid any potential discrepancies in your tax return. Failing to report all interest and dividend income could result in penalties or additional taxes owed to the IRS. Therefore, it is crucial to take the time to carefully review and verify the information before submitting your tax return.
In conclusion, IRS Form Schedule B is a vital document for taxpayers who have received interest and dividend income during the tax year. By accurately reporting this income on Schedule B, taxpayers can ensure compliance with IRS regulations and avoid any potential penalties. Make sure to download and use the printable version of Schedule B to accurately report your income and fulfill your tax obligations.
