Skip to content

Illinois State Income Tax Form For Trusts Printable 2016

  • by

When it comes to filing income tax returns for trusts in Illinois, it is important to have the necessary forms to ensure compliance with state tax laws. The Illinois State Income Tax Form For Trusts Printable 2016 provides trust administrators with a comprehensive document to report income, deductions, and credits for the tax year.

Trusts are required to file income tax returns in Illinois if they have income derived from sources within the state or if they have income that is allocated to beneficiaries who are residents of Illinois. The Illinois State Income Tax Form For Trusts Printable 2016 is designed to capture all relevant financial information to determine the trust’s tax liability for the year.

1099 S Form Copy C Filer StateIllinois State Income Tax Form For Trusts Printable 2016

Trust administrators must carefully review the instructions provided with the Illinois State Income Tax Form For Trusts Printable 2016 to ensure accurate completion of the document. This includes reporting all sources of income, calculating deductions and credits, and determining any tax owed to the state. Failure to file an accurate tax return could result in penalties and interest charges.

It is important for trust administrators to keep detailed records of all financial transactions related to the trust throughout the tax year. This information will be necessary when completing the Illinois State Income Tax Form For Trusts Printable 2016. By maintaining accurate records, trust administrators can streamline the tax filing process and minimize the risk of errors or omissions on the tax return.

Trust administrators should also be aware of any changes to Illinois state tax laws that may impact the filing requirements for trusts. Staying informed about updates to tax regulations can help ensure compliance with the law and avoid potential penalties. The Illinois State Income Tax Form For Trusts Printable 2016 is updated annually to reflect any changes in tax laws, so it is important to use the most current version when filing tax returns.

In conclusion, the Illinois State Income Tax Form For Trusts Printable 2016 is a valuable resource for trust administrators to accurately report income, deductions, and credits for the tax year. By following the instructions provided and maintaining detailed financial records, trust administrators can ensure compliance with Illinois state tax laws and avoid potential penalties. Trust administrators should be proactive in staying informed about changes to tax regulations to ensure accurate and timely filing of tax returns.


Download and Print Illinois State Income Tax Form For Trusts Printable 2016

Illinois State Income Tax Form For Trusts Printable 2016 are ideal for businesses that prefer physical records or need printed versions for staff files. Most forms include fields for staff name, date range, total earnings, withholdings, and final salary—making them both detailed and easy to use.

Start simplifying your payroll process today with a trusted printable payroll. Reduce admin effort, reduce errors, and stay organized—all while keeping your employee payment data clear.

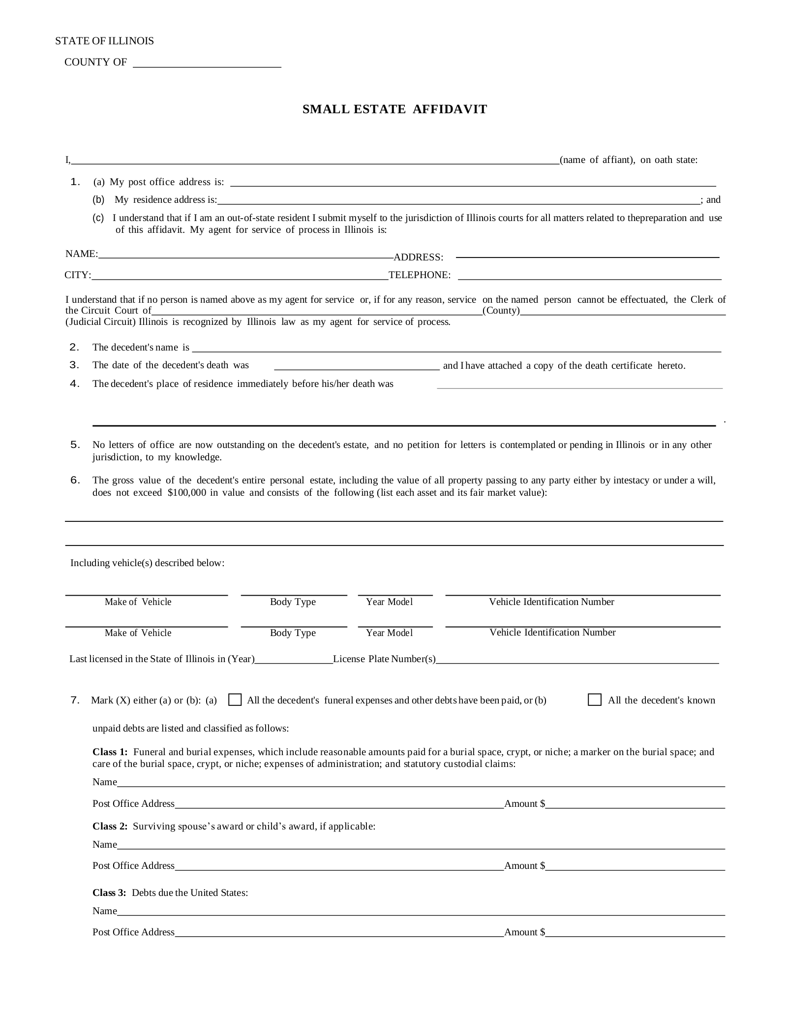
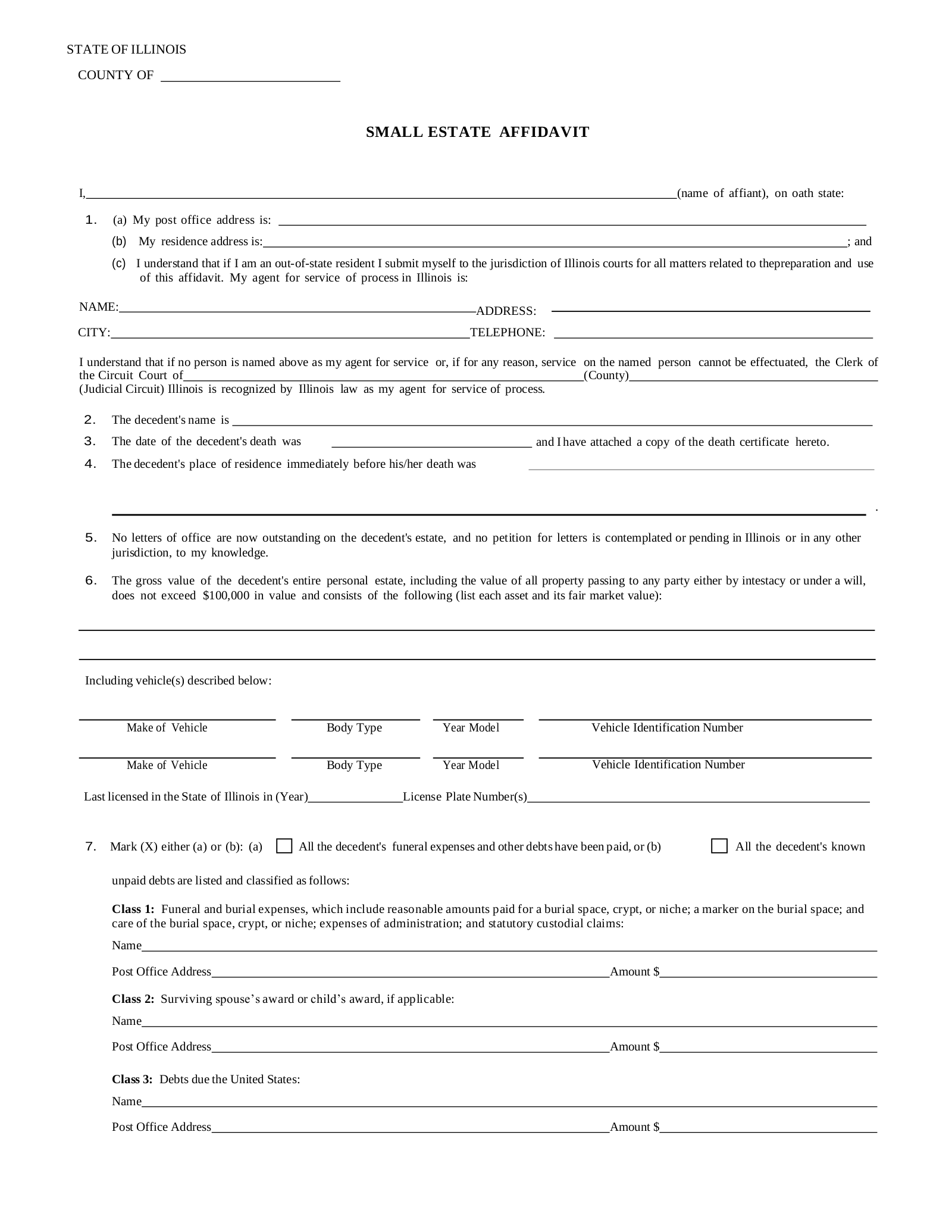
Free Illinois Small Estate Affidavit Form PDF Word EFormsFree Illinois Small Estate Affidavit Form PDF Word EForms

1099 S Form Copy A Federal1099 S Form Copy A Federal

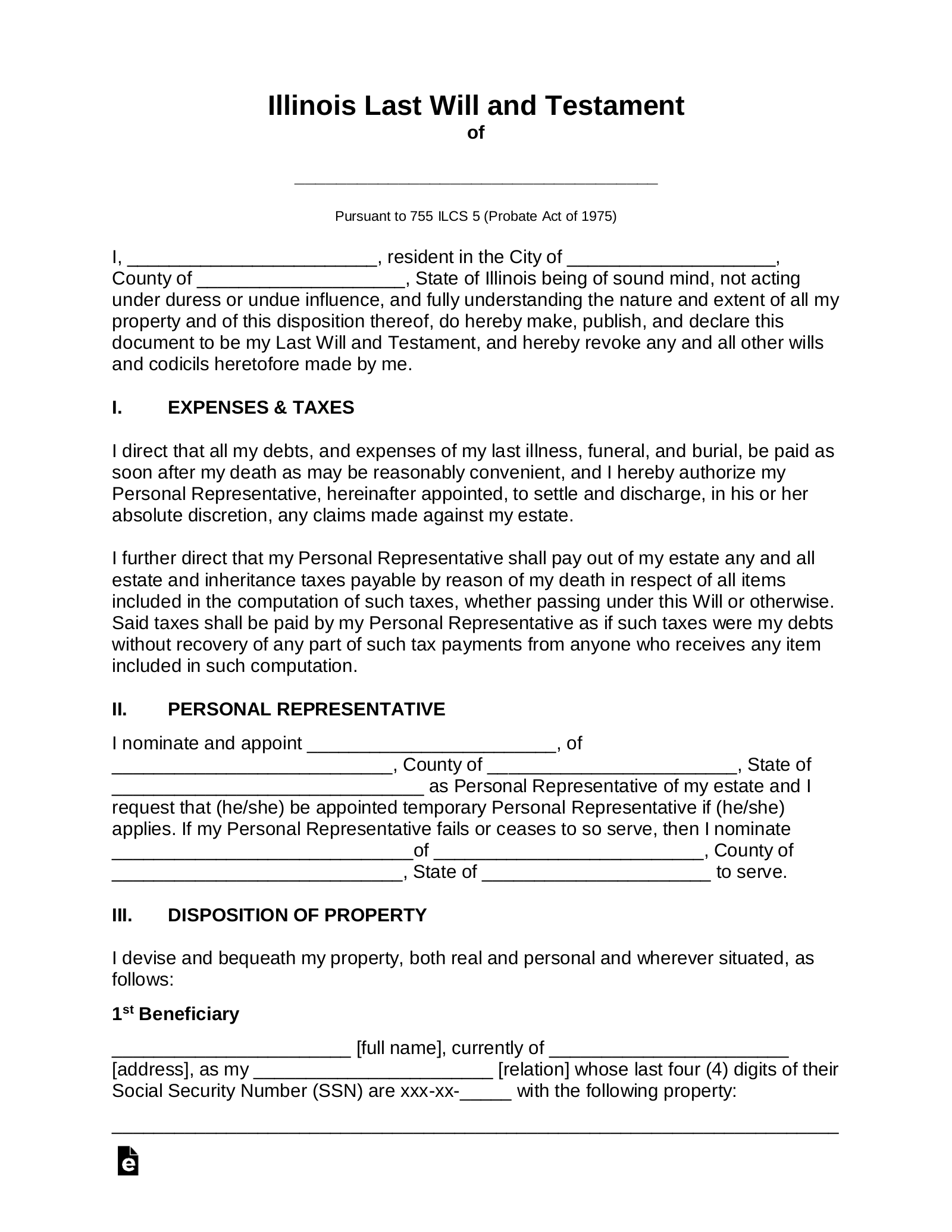
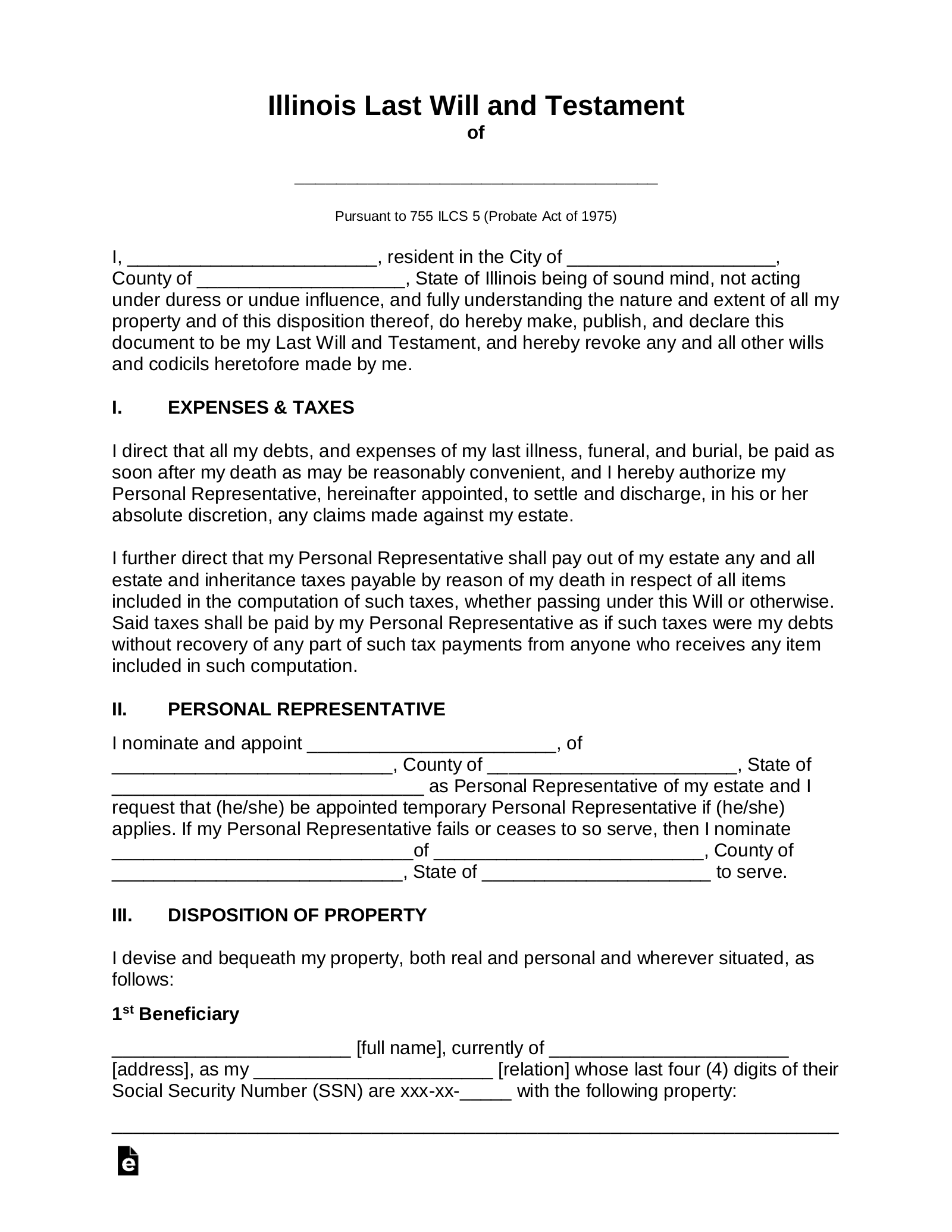
Free Illinois Last Will And Testament Template PDF Word EFormsFree Illinois Last Will And Testament Template PDF Word EForms

3 11 14 Income Tax Returns For Estates And Trusts Forms 1041 3 11 14 Income Tax Returns For Estates And Trusts Forms 1041

3 11 14 Income Tax Returns For Estates And Trusts Forms 1041 3 11 14 Income Tax Returns For Estates And Trusts Forms 1041

Processing payroll tasks doesn’t have to be difficult. A printable payroll offers a speedy, accurate, and straightforward method for tracking employee pay, work time, and withholdings—without the need for complicated tools.

Whether you’re a freelancer, HR professional, or sole proprietor, using apayroll template helps ensure accurate record-keeping. Simply access the template, print it, and fill it out by hand or edit it digitally before printing.