Skip to content

Georgia Last Will And Testament With Minor Children Form Printable

  • by

Planning for the future is important, especially when it comes to ensuring the well-being of your loved ones. One crucial document to consider is a Last Will and Testament, which allows you to outline how you want your assets to be distributed after your passing. If you have minor children, it is even more important to have a plan in place to protect their future.

Georgia law allows parents to create a Last Will and Testament to designate guardians for their minor children and specify how their assets should be managed on behalf of their children. By having a clear and legally binding document in place, you can have peace of mind knowing that your children will be taken care of according to your wishes.

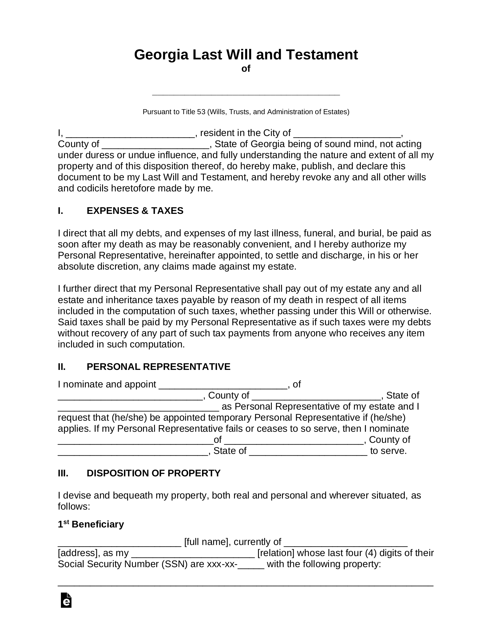
Free Georgia Last Will And Testament Form CocoSignGeorgia Last Will And Testament With Minor Children Form Printable

Georgia Last Will And Testament With Minor Children Form Printable

When creating a Last Will and Testament in Georgia that involves minor children, it is essential to consider various factors. You will need to appoint a guardian who will take care of your children in the event of your passing. Additionally, you can specify how your assets should be managed for the benefit of your children, whether through a trust or other means.

It is recommended to use a legally approved form for your Last Will and Testament with minor children in Georgia to ensure that all necessary information is included and that your wishes are clearly outlined. These forms are readily available online and can be easily printed for your convenience.

When filling out the form, be sure to provide detailed information about your chosen guardian, including their full name, contact information, and relationship to your children. You should also specify how you want your assets to be distributed to your children and how they should be managed until they reach adulthood.

Once you have completed the form, it is recommended to have it notarized to make it legally binding. You should also keep a copy of the document in a safe place and inform your chosen guardian and other relevant parties about its existence.

In conclusion, creating a Last Will and Testament with minor children in Georgia is a crucial step in ensuring the well-being of your children and the proper distribution of your assets. By using a printable form and following the necessary steps, you can create a comprehensive plan that reflects your wishes and provides peace of mind for you and your loved ones.


Get and Print Georgia Last Will And Testament With Minor Children Form Printable

Printable payroll form are ideal for companies that prefer physical records or need physical copies for audit purposes. Most forms include fields for staff name, pay period, total earnings, taxes, and final salary—making them both detailed and user-friendly.

Start simplifying your payroll system today with a trusted Georgia Last Will And Testament With Minor Children Form Printable. Reduce admin effort, reduce errors, and stay organized—all while keeping your payroll records clear.

Last Will And Testament Georgia Free Templates Last Will And Testament Georgia Free Templates

Last Will And Testament Georgia Free Templates Last Will And Testament Georgia Free Templates

Free Georgia Last Will And Testament Form CocoSignFree Georgia Last Will And Testament Form CocoSign

Free Georgia Last Will And Testament Template PDF Word EFormsFree Georgia Last Will And Testament Template PDF Word EForms

Free Georgia Last Will And Testament Form CocoSignFree Georgia Last Will And Testament Form CocoSign

Managing payroll tasks doesn’t have to be complicated. A payroll template offers a fast, reliable, and easy-to-use method for tracking employee pay, work time, and taxes—without the need for complicated tools.

Whether you’re a small business owner, HR professional, or independent contractor, using aprintable payroll form helps ensure compliance with regulations. Simply get the template, produce a hard copy, and fill it out by hand or edit it digitally before printing.