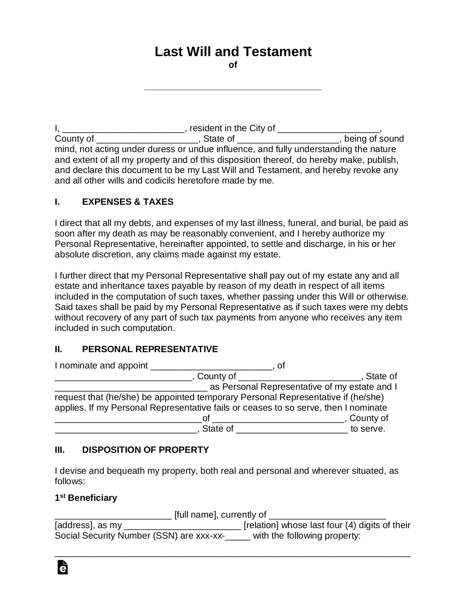
Creating a last will and testament is an important part of estate planning. It allows you to dictate how your assets will be distributed after your passing, ensuring that your wishes are carried out. While hiring a lawyer to draft a will can be costly, there are free will and testament forms available online that you can use to create your own legal document.
These printable forms typically include sections for naming an executor, specifying beneficiaries, outlining how assets should be distributed, and appointing guardians for minors. They can be customized to suit your specific needs and are a cost-effective alternative to hiring a lawyer.
Free Will And Testament Forms Printable
When using free will and testament forms, it’s important to carefully read through the instructions and fill out the document accurately. Make sure to have witnesses sign the will to validate it and consider having it notarized for added security. Keep the original document in a safe place and provide copies to your executor and loved ones.
It’s important to regularly review and update your will as your circumstances change, such as getting married, having children, or acquiring new assets. By keeping your will current, you can ensure that it accurately reflects your wishes and protects your loved ones.
While using free will and testament forms can be a convenient way to create a legal document, it’s important to consider consulting with a lawyer if you have complex estate planning needs. An attorney can provide valuable advice and ensure that your will is legally sound and meets all necessary requirements.
In conclusion, free will and testament forms printable are a useful tool for creating a legal document that outlines how your assets should be distributed after your passing. By carefully filling out the form, having it witnessed and notarized, and keeping it up to date, you can ensure that your wishes are carried out and your loved ones are provided for.
Get and Print Free Will And Testament Forms Printable
Free Will And Testament Forms Printable are ideal for companies that prefer paper documentation or need physical copies for audit purposes. Most forms include fields for employee name, pay period, gross pay, withholdings, and final salary—making them both detailed and user-friendly.
Begin streamlining your payment tracking today with a trusted printable payroll form. Reduce admin effort, reduce errors, and stay organized—all while keeping your payroll records organized.
Free Printable Last Will And Testament Templates PDF Word
Free Last Will And Testament Template Templates 2 PDF Word
39 Last Will And Testament Forms U0026 Templates TemplateLab
39 Last Will And Testament Forms U0026 Templates TemplateLab
Free Last Will And Testament Will PDF Word EForms
Processing employee payments doesn’t have to be difficult. A printable payroll offers a speedy, dependable, and straightforward method for tracking salaries, work time, and withholdings—without the need for complicated tools.
Whether you’re a small business owner, HR professional, or sole proprietor, using apayroll template helps ensure accurate record-keeping. Simply get the template, produce a hard copy, and complete it by hand or type directly into the file before printing.