Creating a will is an essential part of estate planning. A will is a legal document that outlines your wishes regarding the distribution of your assets and the care of any minor children. Without a will, your assets may not be distributed according to your wishes, and your loved ones could face unnecessary complications and expenses during the probate process.
While many people put off creating a will because they think it’s a complicated and expensive process, there are resources available that make it easier and more affordable, such as free printable will forms.
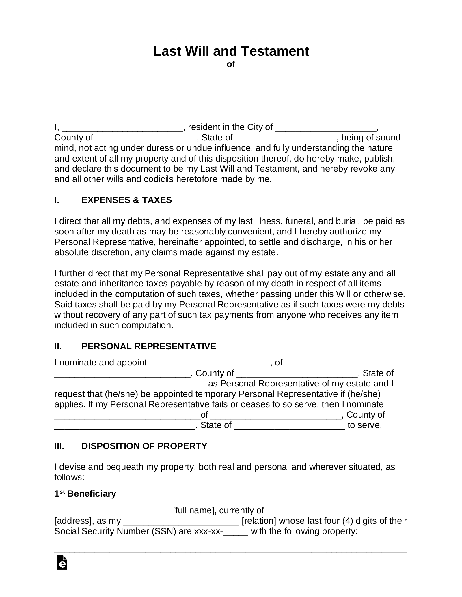
Free Printable Will Forms
Free printable will forms are templates that allow you to create a basic will without the need for an attorney. These forms typically include sections for you to list your assets, name beneficiaries, appoint an executor, and designate guardians for minor children. While these forms may not be as comprehensive as a will created with the help of an attorney, they can still serve as a legally valid document in many situations.
When using free printable will forms, it’s important to carefully read and follow the instructions provided. Make sure to fill out all the necessary information accurately and have the document properly witnessed and signed according to your state’s laws. Additionally, it’s a good idea to review and update your will periodically to ensure it reflects your current wishes and circumstances.
While free printable will forms can be a convenient and cost-effective way to create a will, they may not be suitable for everyone. If you have a complex estate, special needs beneficiaries, or other unique circumstances, it’s advisable to consult with an attorney to ensure your will adequately addresses all your needs and concerns.
Ultimately, having a will in place is crucial for ensuring that your assets are distributed according to your wishes and that your loved ones are taken care of after you’re gone. By using free printable will forms or seeking the assistance of an attorney, you can take the necessary steps to protect your legacy and provide peace of mind for yourself and your family.
In conclusion
Creating a will is an important aspect of estate planning, and free printable will forms can be a helpful tool in making this process more accessible. Whether you choose to use a template or seek professional assistance, taking the time to create a will ensures that your wishes are carried out and your loved ones are provided for in the future.
