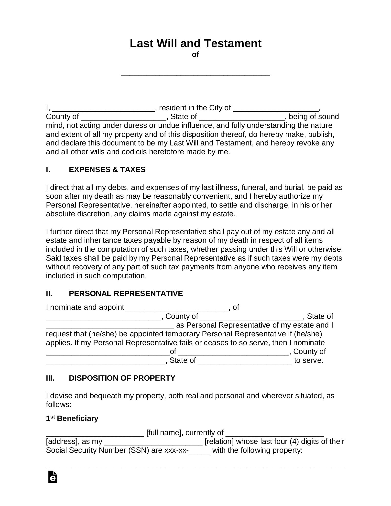
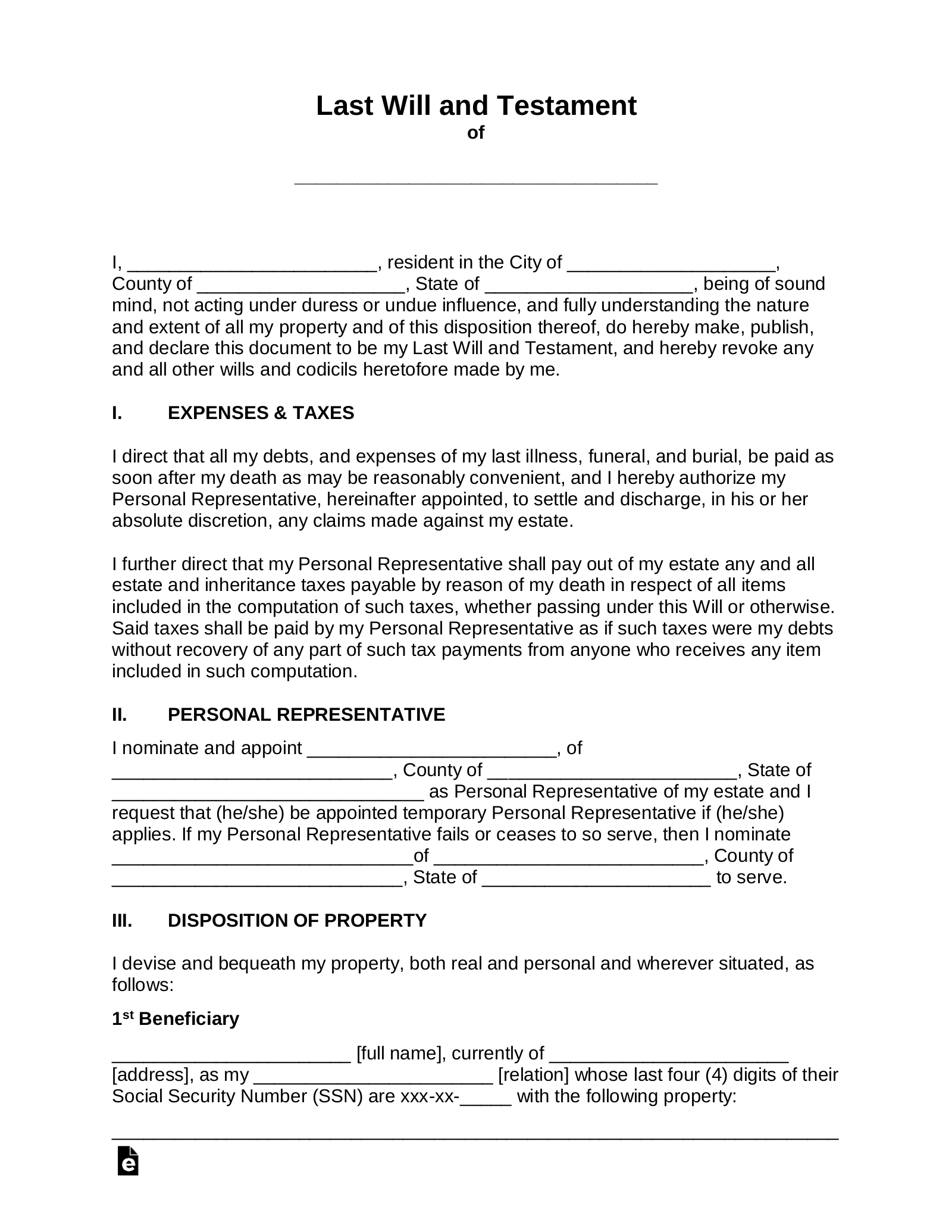
Creating a will is an important step in ensuring that your assets are distributed according to your wishes after your passing. Many people opt to use will forms to simplify the process and ensure that their wishes are clearly outlined. Free printable will forms in PDF format are a convenient option for those looking to create a will without the need for expensive legal assistance.
With free printable will forms in PDF format, you can easily access and fill out the necessary information from the comfort of your own home. These forms typically include sections for naming beneficiaries, assigning guardians for minor children, and outlining specific bequests. By using a PDF format, you can easily save and print multiple copies of your will for safekeeping.
When using free printable will forms in PDF format, it is important to carefully review and understand the information you are providing. Ensure that all beneficiaries and assets are clearly listed, and that any special instructions are clearly outlined. It is also recommended to have your will witnessed and notarized to ensure its validity.
One benefit of using free printable will forms in PDF format is the cost savings. By choosing to create your will using a free template, you can avoid the high costs associated with hiring a lawyer to draft a will on your behalf. This can be particularly helpful for those with simple estate planning needs.
While free printable will forms in PDF format can be a convenient and cost-effective option for creating a will, it is important to keep in mind that they may not be suitable for everyone. If you have complex estate planning needs or are unsure of how to properly execute a will, it may be best to seek the guidance of a legal professional.
In conclusion, free printable will forms in PDF format offer a convenient and affordable option for creating a will. By carefully reviewing and filling out the necessary information, you can ensure that your wishes are clearly outlined and your assets are distributed according to your wishes. Consider using a free printable will form for your estate planning needs.
