Skip to content

Free Printable Will And Trust Forms

  • by

Creating a will and trust is an important part of estate planning. These legal documents ensure that your assets are distributed according to your wishes after you pass away. While hiring a lawyer to draft these documents can be costly, there are free printable will and trust forms available online that can help you get started.

Free printable will and trust forms provide a convenient and cost-effective way to begin the estate planning process. These forms typically include sections for you to fill out your personal information, list your assets and beneficiaries, and designate an executor or trustee to carry out your wishes. By using these forms, you can ensure that your loved ones are taken care of and your assets are distributed as you see fit.

34 Free Living Trust Forms U0026 Documents TemplateLabFree Printable Will And Trust Forms

It’s important to note that while free printable will and trust forms can be a good starting point, they may not cover all the complexities of your individual situation. Consulting with a lawyer or estate planning professional is recommended to ensure that your documents are legally binding and accurately reflect your wishes. However, using these forms can be a helpful first step in getting your affairs in order.

When using free printable will and trust forms, it’s essential to carefully review and fill out the documents with accurate information. Make sure to update your will and trust as needed, especially after major life events such as marriage, divorce, or the birth of a child. Keeping your documents current will help ensure that your wishes are carried out as intended.

In conclusion, free printable will and trust forms can be a valuable resource for individuals looking to start the estate planning process. While it’s important to consult with a professional to ensure that your documents are legally sound, these forms can provide a starting point for organizing your assets and outlining your wishes. Take advantage of these resources to protect your loved ones and secure your legacy.

Easily Download and Print Free Printable Will And Trust Forms

Printable payroll template are ideal for businesses that prefer paper documentation or need physical copies for staff files. Most forms include fields for employee name, pay period, total earnings, withholdings, and net pay—making them both comprehensive and user-friendly.

Start simplifying your payroll process today with a trusted payroll template. Reduce admin effort, minimize mistakes, and stay organized—all while keeping your financial logs clear.

Last Will And Testament Kit 2025 Legal Will And Trust Forms For Estate Planning Do It Yourself Kit For Peace Of Mind Includes 2 Forms Codicil Last Will And Testament Kit 2025 Legal Will And Trust Forms For Estate Planning Do It Yourself Kit For Peace Of Mind Includes 2 Forms Codicil

Free Printable Last Will And Testament Templates PDF Word Free Printable Last Will And Testament Templates PDF Word

34 Free Living Trust Forms U0026 Documents TemplateLab34 Free Living Trust Forms U0026 Documents TemplateLab

Free Living Trust Form Revocable PDF Word EFormsFree Living Trust Form Revocable PDF Word EForms

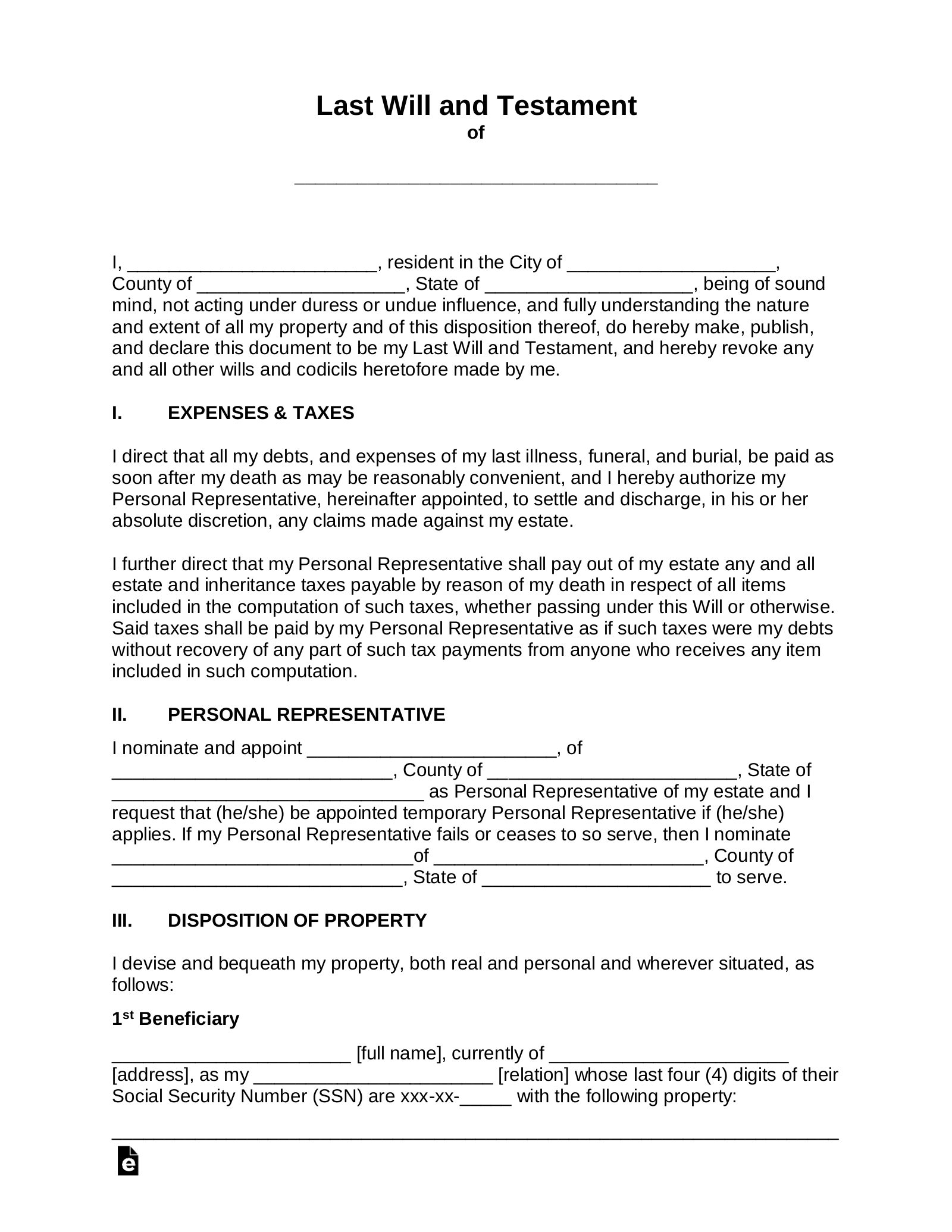
Free Last Will And Testament Will PDF Word EFormsFree Last Will And Testament Will PDF Word EForms

Handling employee payments doesn’t have to be complicated. A printable payroll offers a speedy, dependable, and straightforward method for tracking employee pay, hours, and withholdings—without the need for complex software.

Whether you’re a small business owner, administrator, or independent contractor, using apayroll printable helps ensure compliance with regulations. Simply get the template, produce a hard copy, and complete it by hand or type directly into the file before printing.