Skip to content

Free Printable Uk Last Will And Testament Forms

  • by

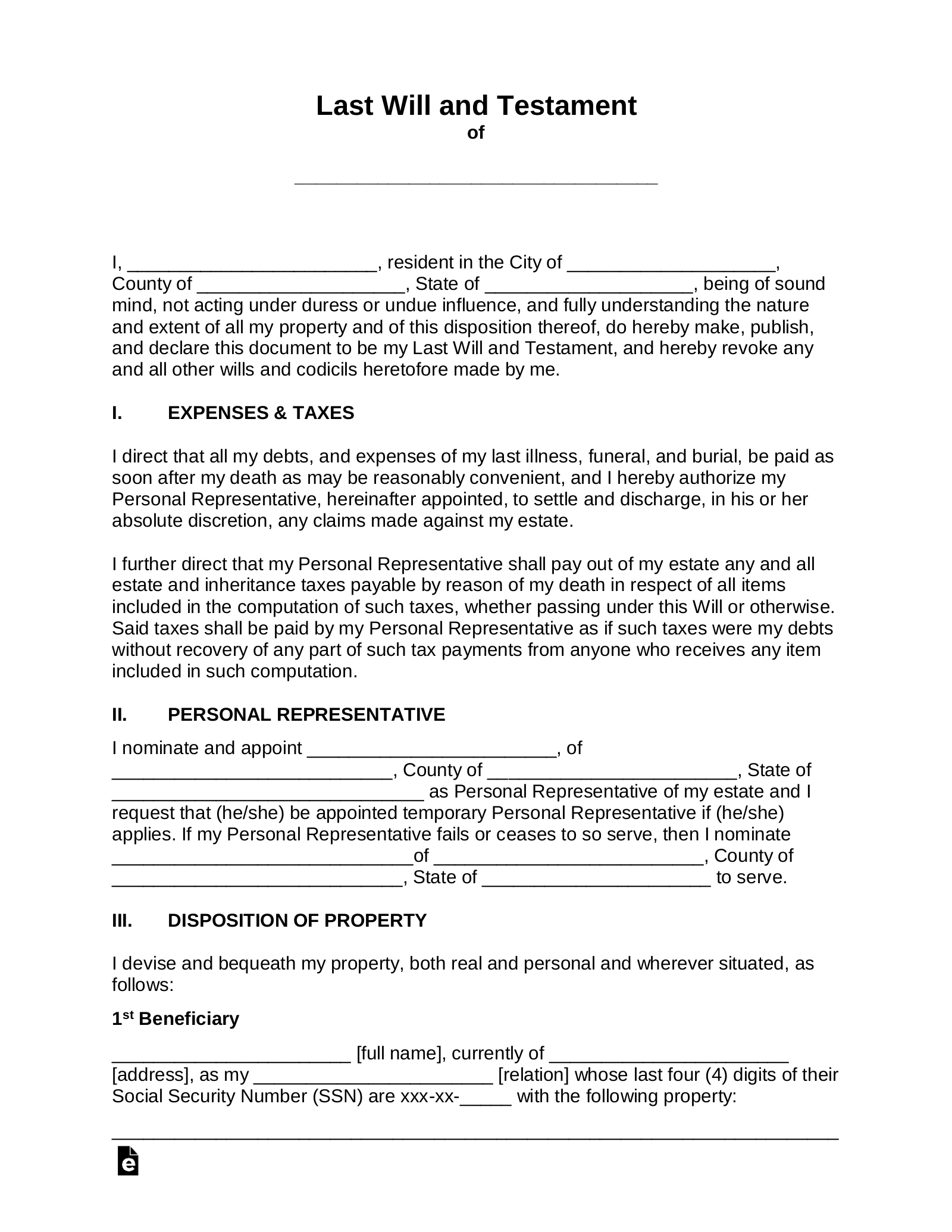
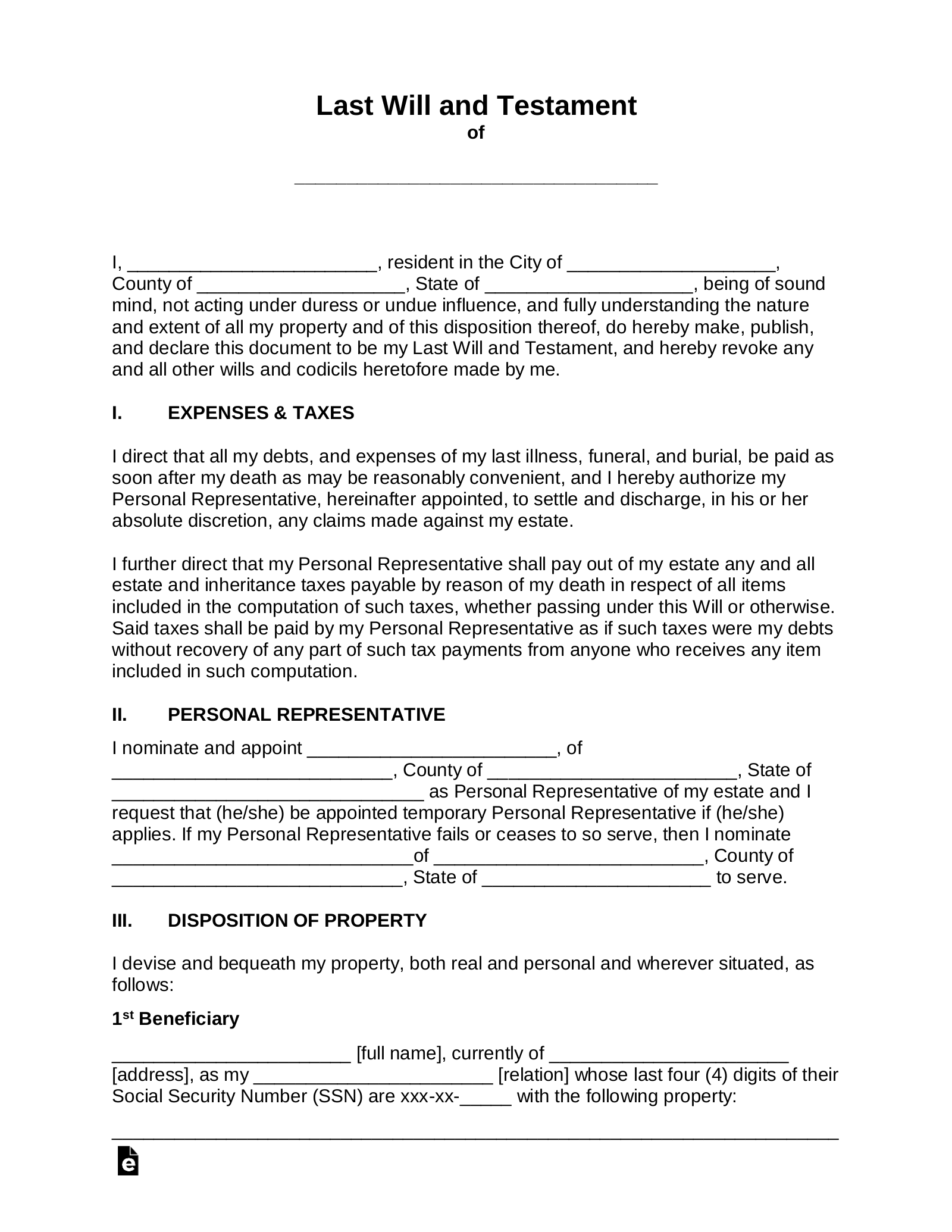
Creating a last will and testament is an important step in ensuring that your final wishes are carried out after your passing. In the UK, having a legally binding will in place can help avoid disputes among family members and ensure that your assets are distributed according to your wishes. Thankfully, there are free printable UK last will and testament forms available online that make the process easier and more accessible.

These forms typically include sections where you can specify who will inherit your property, name an executor to handle your estate, designate guardians for any minor children, and outline any specific funeral arrangements or charitable donations. By using a printable form, you can easily fill in the necessary information and have a legally valid will in place without the need for expensive legal fees.

35 Free Blank Last Will And Testament Forms Word PDF Free Printable Uk Last Will And Testament Forms

It’s important to note that while these free printable forms can be a convenient option for many individuals, they may not always cover every unique situation or circumstance. If you have complex assets, a blended family, or other specific needs, it may be advisable to consult with an estate planning attorney to ensure that your will accurately reflects your intentions.

Additionally, it’s crucial to regularly review and update your will as your circumstances change. Life events such as marriage, divorce, births, deaths, or significant changes in financial status can all impact the terms of your will. By keeping your will up to date, you can ensure that your wishes are accurately reflected and avoid any potential conflicts down the line.

Overall, using free printable UK last will and testament forms can be a helpful tool in creating a basic will that meets your needs. While they may not be suitable for every situation, they can provide a starting point for individuals who want to ensure that their final wishes are documented and legally binding. By taking the time to create a will, you can provide peace of mind for yourself and your loved ones knowing that your affairs are in order.

Take advantage of these free resources and start the process of creating your last will and testament today.


Easily Download and Print Free Printable Uk Last Will And Testament Forms

Printable payroll form are ideal for teams that prefer paper documentation or need printed versions for staff files. Most forms include fields for employee name, date range, total earnings, taxes, and net pay—making them both comprehensive and user-friendly.

Start simplifying your payroll system today with a trusted printable payroll form. Reduce admin effort, reduce errors, and maintain clear records—all while keeping your payroll records clear.

Free Printable Last Will And Testament Templates PDF Word Free Printable Last Will And Testament Templates PDF Word

Free Last Will And Testament Will PDF Word EFormsFree Last Will And Testament Will PDF Word EForms

39 Last Will And Testament Forms U0026 Templates TemplateLab39 Last Will And Testament Forms U0026 Templates TemplateLab

Free Last Will And Testament Template PDF U0026 WordFree Last Will And Testament Template PDF U0026 Word

Last Will And Testament Template UK LawDistrictLast Will And Testament Template UK LawDistrict

Processing payroll tasks doesn’t have to be complicated. A payroll template offers a fast, accurate, and straightforward method for tracking employee pay, work time, and deductions—without the need for digital systems.

Whether you’re a small business owner, HR professional, or sole proprietor, using apayroll printable helps ensure accurate record-keeping. Simply access the template, print it, and complete it by hand or type directly into the file before printing.