Skip to content

Free Printable U K Last Will And Testament Forms

  • by

Creating a Last Will and Testament is an important step in ensuring that your assets are distributed according to your wishes after you pass away. In the UK, having a properly executed Will can help avoid potential disputes and provide clarity for your loved ones.

While consulting with a legal professional is recommended when drafting a Will, there are also free printable forms available online that can help you get started. These forms can be a useful tool for organizing your thoughts and outlining your wishes before seeking legal advice.

Printable Last Will In Testament Etsy UKFree Printable U K Last Will And Testament Forms

When using free printable UK Last Will and Testament forms, it’s important to ensure that the document meets the legal requirements in your specific jurisdiction. Different regions may have varying rules and regulations regarding Wills, so it’s crucial to do your research and make any necessary adjustments to the form.

It’s also important to review and update your Will regularly to reflect any changes in your circumstances or wishes. Life events such as marriage, divorce, the birth of children, or acquiring new assets can all impact how you want your estate to be distributed.

While free printable forms can be a helpful starting point, it’s always best to consult with a legal professional to ensure that your Will is legally sound and comprehensive. A solicitor can provide guidance on complex issues, help you navigate legal requirements, and ensure that your document accurately reflects your wishes.

In conclusion, free printable UK Last Will and Testament forms can be a useful resource for individuals who are beginning the estate planning process. By using these forms as a starting point and seeking legal advice to finalize your Will, you can ensure that your assets are distributed according to your wishes and provide peace of mind for your loved ones.


Get and Print Free Printable U K Last Will And Testament Forms

Printable payroll template are ideal for businesses that prefer non-digital systems or need printed versions for employee records. Most forms include fields for employee name, pay period, total earnings, taxes, and net pay—making them both detailed and user-friendly.

Begin streamlining your payment tracking today with a trusted printable payroll. Reduce admin effort, reduce errors, and stay organized—all while keeping your employee payment data organized.

Last Will And Testament Template U0026 FAQs Rocket Lawyer UKLast Will And Testament Template U0026 FAQs Rocket Lawyer UK

Free Printable Last Will And Testament Templates PDF Word Free Printable Last Will And Testament Templates PDF Word

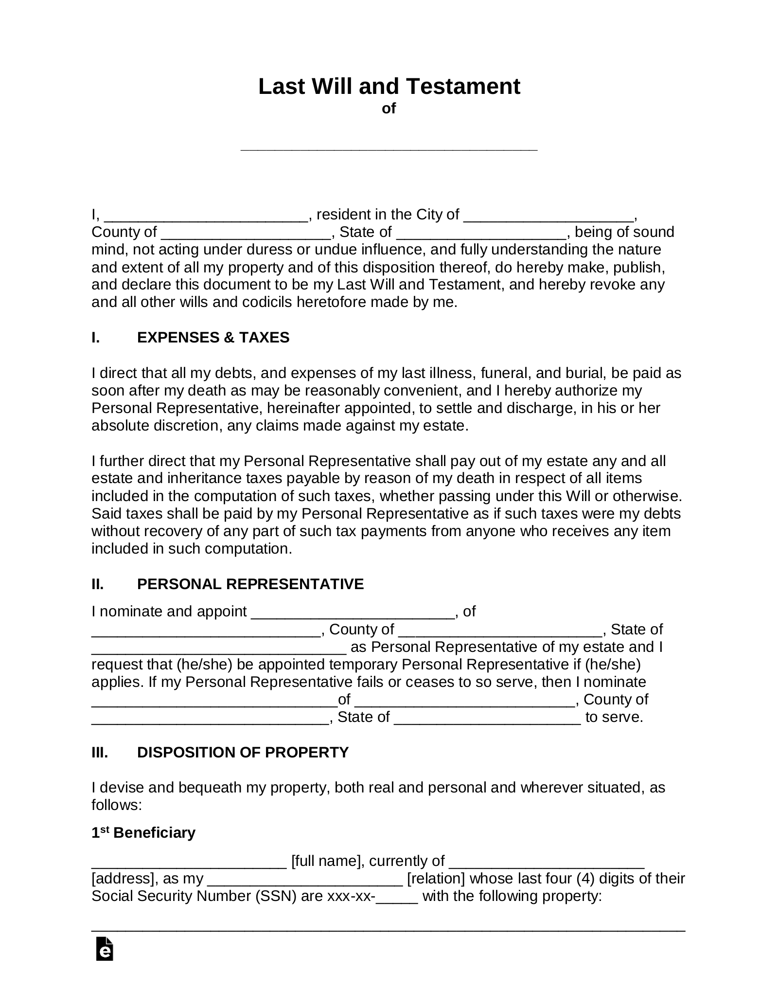
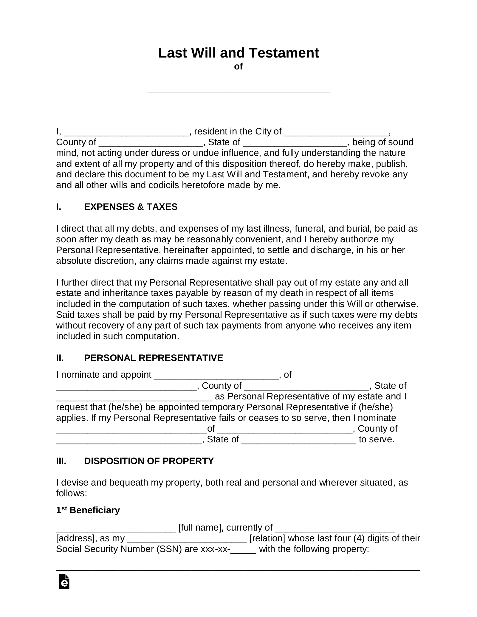
Free Last Will And Testament Will PDF Word EFormsFree Last Will And Testament Will PDF Word EForms

39 Last Will And Testament Forms U0026 Templates TemplateLab39 Last Will And Testament Forms U0026 Templates TemplateLab

Last Will And Testament Template UK LawDistrictLast Will And Testament Template UK LawDistrict

Processing employee payments doesn’t have to be difficult. A printable payroll form offers a quick, accurate, and straightforward method for tracking wages, hours, and deductions—without the need for complex software.

Whether you’re a small business owner, payroll manager, or sole proprietor, using aprintable payroll helps ensure compliance with regulations. Simply download the template, print it, and fill it out by hand or type directly into the file before printing.