Skip to content

Free Printable U.K. Last Will And Testament Forms

  • by

When it comes to planning for the future, creating a last will and testament is an important step to ensure that your assets are distributed according to your wishes after you pass away. In the UK, having a legally binding will in place can provide peace of mind for you and your loved ones.

However, creating a will may seem like a daunting task. Luckily, there are free printable U.K. last will and testament forms available online that can help simplify the process and ensure that your wishes are clearly outlined.

Printable Last Will In Testament Etsy UKFree Printable U.K. Last Will And Testament Forms

These free printable forms typically include sections for you to fill in your personal information, details about your assets, and instructions for how you want your estate to be distributed. By using these forms, you can easily create a legally valid will without the need for expensive legal fees.

It’s important to remember that while these free printable forms can be a helpful starting point, they may not cover all the complexities of your individual situation. If you have a large estate, complex family dynamics, or specific wishes that require legal expertise, it’s recommended to seek professional advice from a solicitor or will-writing service.

Ultimately, having a will in place can provide clarity and peace of mind for you and your loved ones. By using free printable U.K. last will and testament forms, you can take the first step towards ensuring that your wishes are carried out after you’re gone.

So, if you’re ready to take control of your future and make sure your assets are distributed according to your wishes, consider using free printable U.K. last will and testament forms to create a legally binding document that reflects your intentions.


Quickly Access and Print Free Printable U.K. Last Will And Testament Forms

Printable payroll template are ideal for companies that prefer physical records or need physical copies for staff files. Most forms include fields for staff name, date range, total earnings, taxes, and net pay—making them both complete and easy to use.

Take control of your payroll process today with a trusted printable payroll form. Save time, reduce errors, and stay organized—all while keeping your payroll records organized.

Last Will And Testament Template U0026 FAQs Rocket Lawyer UKLast Will And Testament Template U0026 FAQs Rocket Lawyer UK

Free Printable Last Will And Testament Templates PDF Word Free Printable Last Will And Testament Templates PDF Word

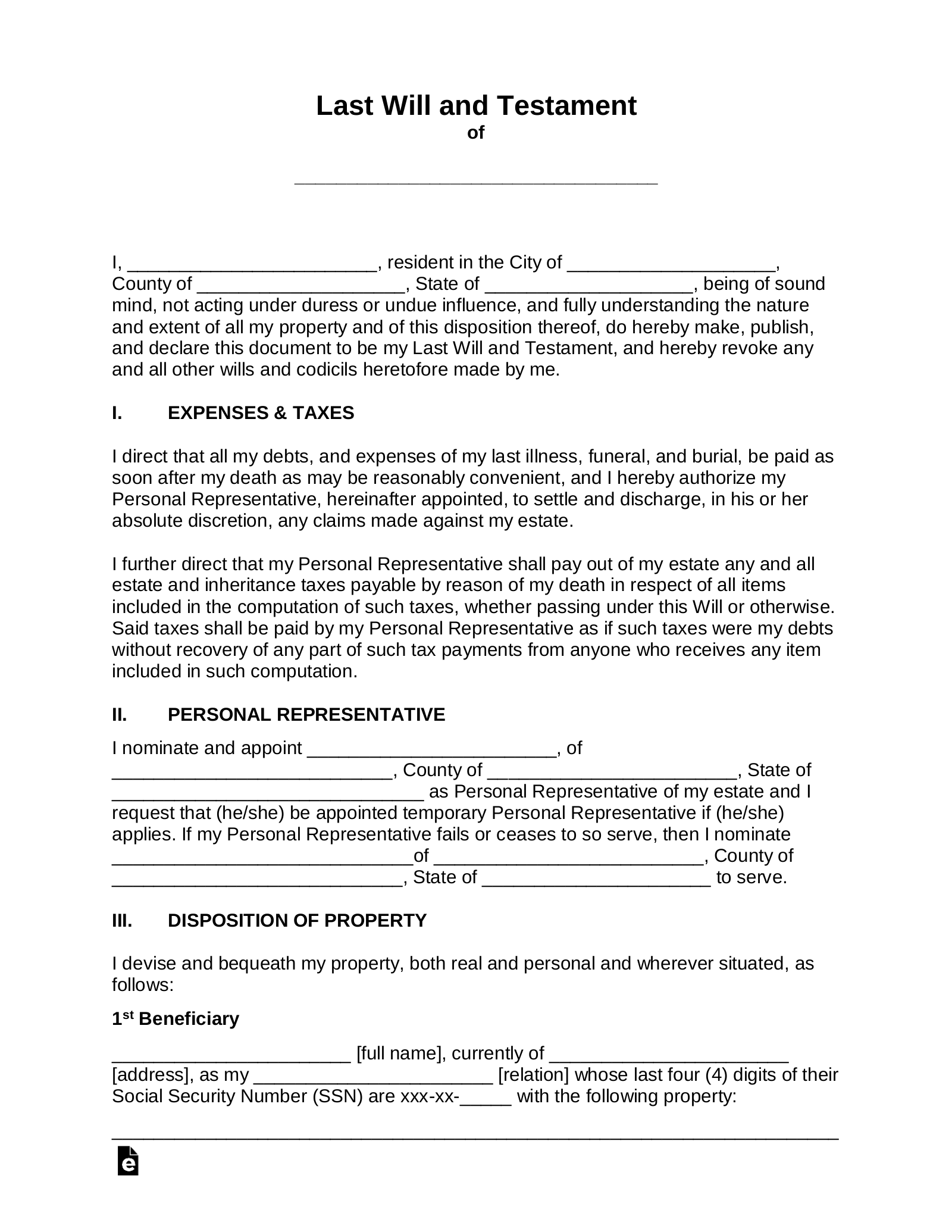
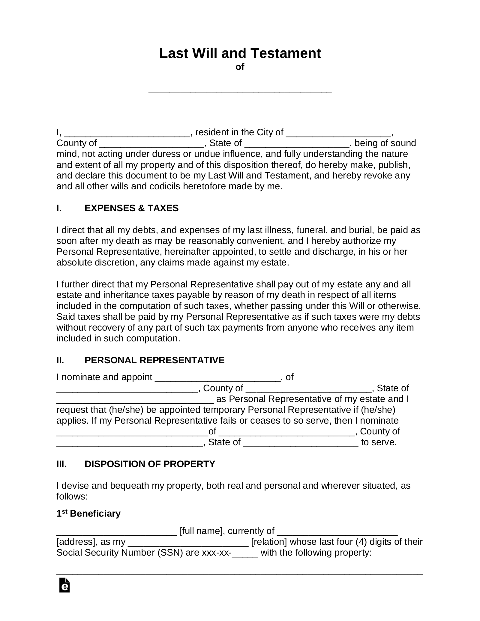
Free Last Will And Testament Will PDF Word EFormsFree Last Will And Testament Will PDF Word EForms

39 Last Will And Testament Forms U0026 Templates TemplateLab39 Last Will And Testament Forms U0026 Templates TemplateLab

Last Will And Testament Template UK LawDistrictLast Will And Testament Template UK LawDistrict

Processing payroll tasks doesn’t have to be difficult. A payroll template offers a quick, dependable, and straightforward method for tracking salaries, work time, and taxes—without the need for complicated tools.

Whether you’re a startup founder, administrator, or independent contractor, using apayroll template helps ensure compliance with regulations. Simply access the template, produce a hard copy, and fill it out by hand or type directly into the file before printing.