Creating a Last Will and Testament is an important step in ensuring that your assets are distributed according to your wishes after you pass away. In the UK, having a legally binding will in place can provide peace of mind for you and your loved ones.
However, the process of creating a will can be daunting and expensive. That’s where free printable Last Will and Testament forms come in handy. These forms allow you to outline your wishes regarding your assets and beneficiaries without the need for costly legal fees.
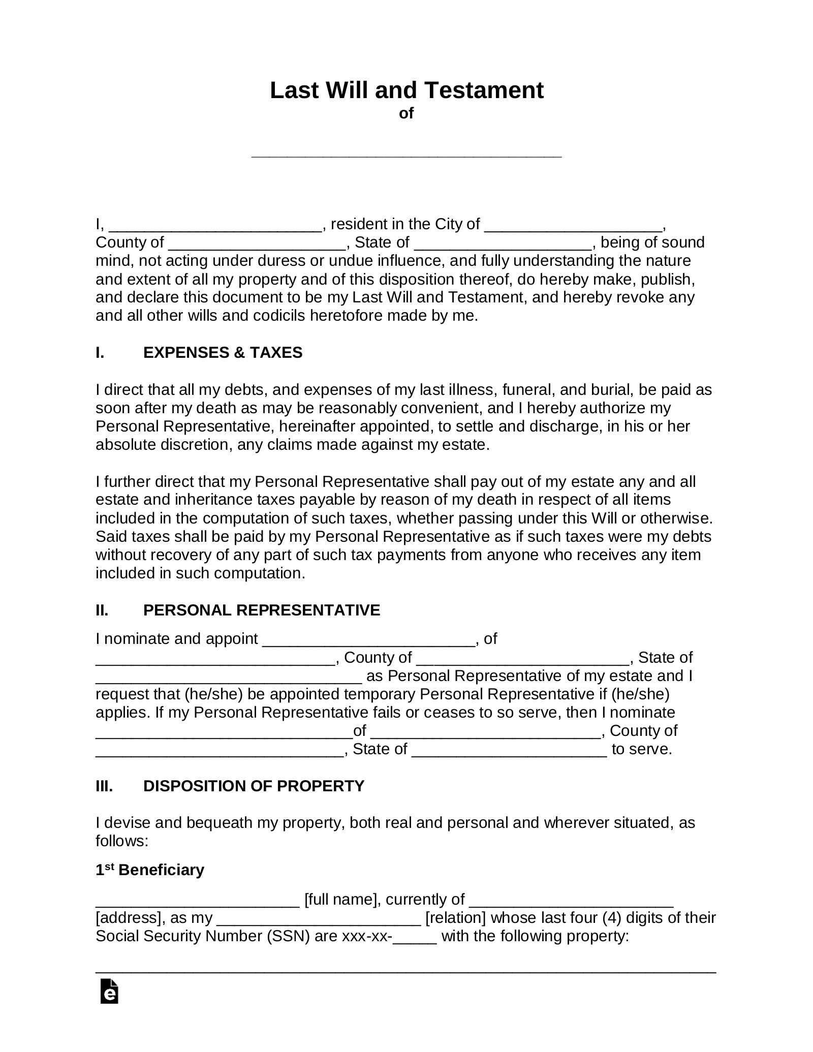
Free Printable Last Will And Testament Forms Uk
There are several websites that offer free printable Last Will and Testament forms specifically tailored for the UK. These forms typically include sections for naming an executor, outlining how your assets should be distributed, and specifying any other wishes you may have.
It’s important to note that while these forms can be a convenient and cost-effective option, they may not always cover all the intricacies of your unique situation. Consulting with a solicitor or legal professional is still recommended to ensure that your will is legally valid and accurately reflects your intentions.
When using free printable Last Will and Testament forms in the UK, it’s crucial to review them carefully and make any necessary amendments to suit your individual needs. It’s also advisable to have your will witnessed and signed in accordance with UK legal requirements to ensure its validity.
In conclusion, free printable Last Will and Testament forms can be a useful tool for individuals looking to create a will without incurring high costs. While they may not be a substitute for professional legal advice, these forms can provide a starting point for outlining your wishes and ensuring that your assets are distributed according to your wishes.