Skip to content

Free Printable Last Will And Testament Forms Pdf

  • by

Creating a last will and testament is an important step in ensuring that your final wishes are carried out and your loved ones are taken care of after your passing. However, the process can be overwhelming and costly if done through a lawyer. Fortunately, there are free printable last will and testament forms available in PDF format that make it easier for you to create your own will without the need for legal assistance.

These free printable forms allow you to fill in the necessary information, such as your personal details, beneficiaries, assets, and guardians for minor children. You can customize the will to suit your specific needs and preferences, ensuring that your wishes are clearly outlined and legally binding. By using these forms, you can save time and money while still ensuring that your estate is distributed according to your wishes.

Last Will And Testament Editable Last Will And Testament Template Printable Last Will And Testament Form PDF Instant Download Digital EtsyFree Printable Last Will And Testament Forms Pdf

It is important to note that while these free printable forms can be a convenient and cost-effective way to create a will, they may not be suitable for everyone. If you have a complex estate, own multiple properties, or have specific wishes that require legal advice, it may be best to consult with a lawyer to ensure that your will is properly drafted and executed.

However, for those with straightforward estates and simple wishes, free printable last will and testament forms in PDF format can be a practical and efficient solution. They provide a template that guides you through the process of creating a will, making it easier for you to ensure that your final wishes are carried out as intended.

In conclusion, free printable last will and testament forms in PDF format offer a convenient and cost-effective way to create a legally binding will. While they may not be suitable for everyone, they can be a useful tool for individuals with straightforward estates and simple wishes. By using these forms, you can take control of your estate planning and ensure that your loved ones are provided for after your passing.


Save and Print Free Printable Last Will And Testament Forms Pdf

Printable payroll are ideal for companies that prefer paper documentation or need physical copies for staff files. Most forms include fields for staff name, date range, gross pay, withholdings, and final salary—making them both detailed and easy to use.

Begin streamlining your payroll system today with a trusted payroll printable. Save time, reduce errors, and maintain clear records—all while keeping your employee payment data professional.

39 Last Will And Testament Forms U0026 Templates TemplateLab39 Last Will And Testament Forms U0026 Templates TemplateLab

39 Last Will And Testament Forms U0026 Templates TemplateLab39 Last Will And Testament Forms U0026 Templates TemplateLab

Free Printable Last Will And Testament Templates PDF Word Free Printable Last Will And Testament Templates PDF Word

Free Last Will And Testament Template Templates 2 PDF WordFree Last Will And Testament Template Templates 2 PDF Word

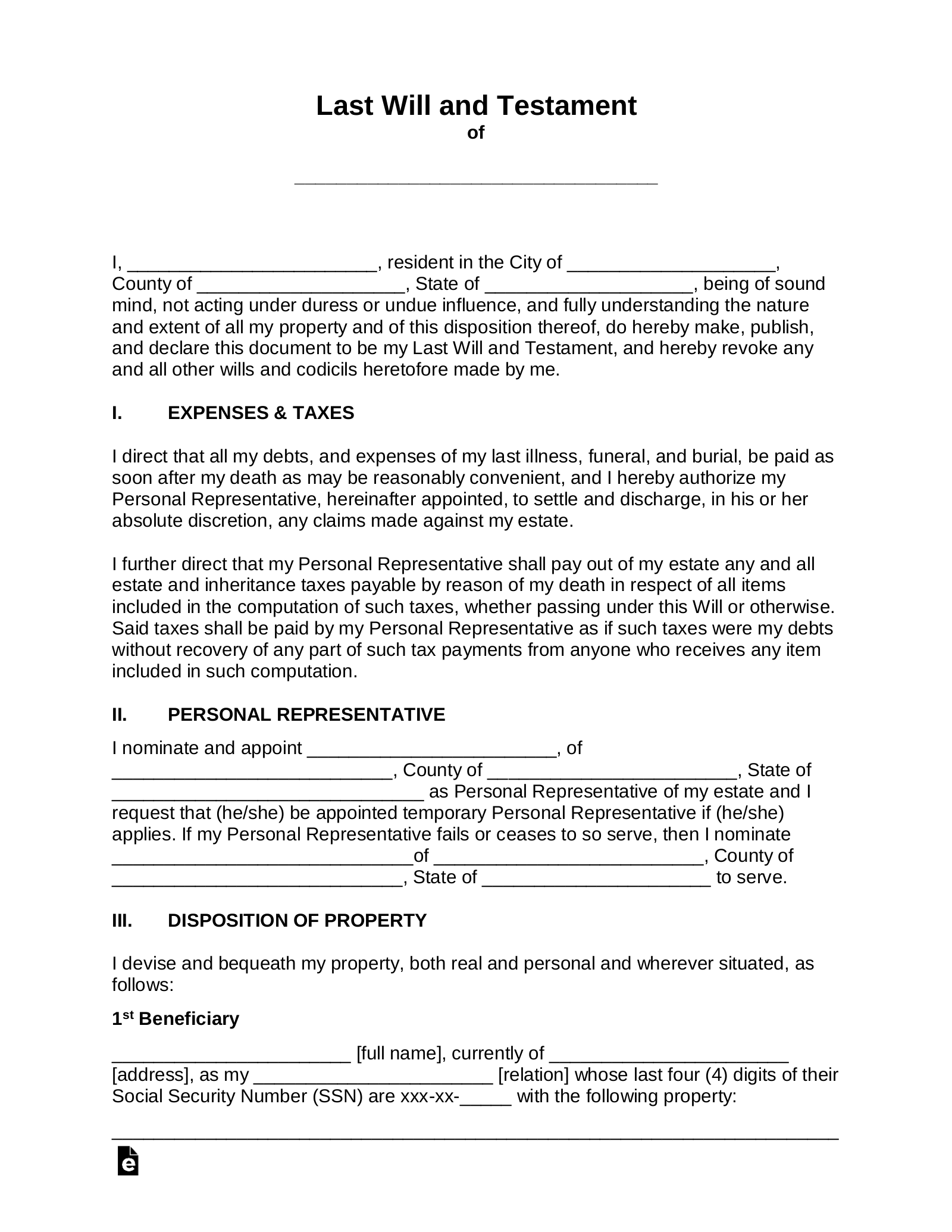
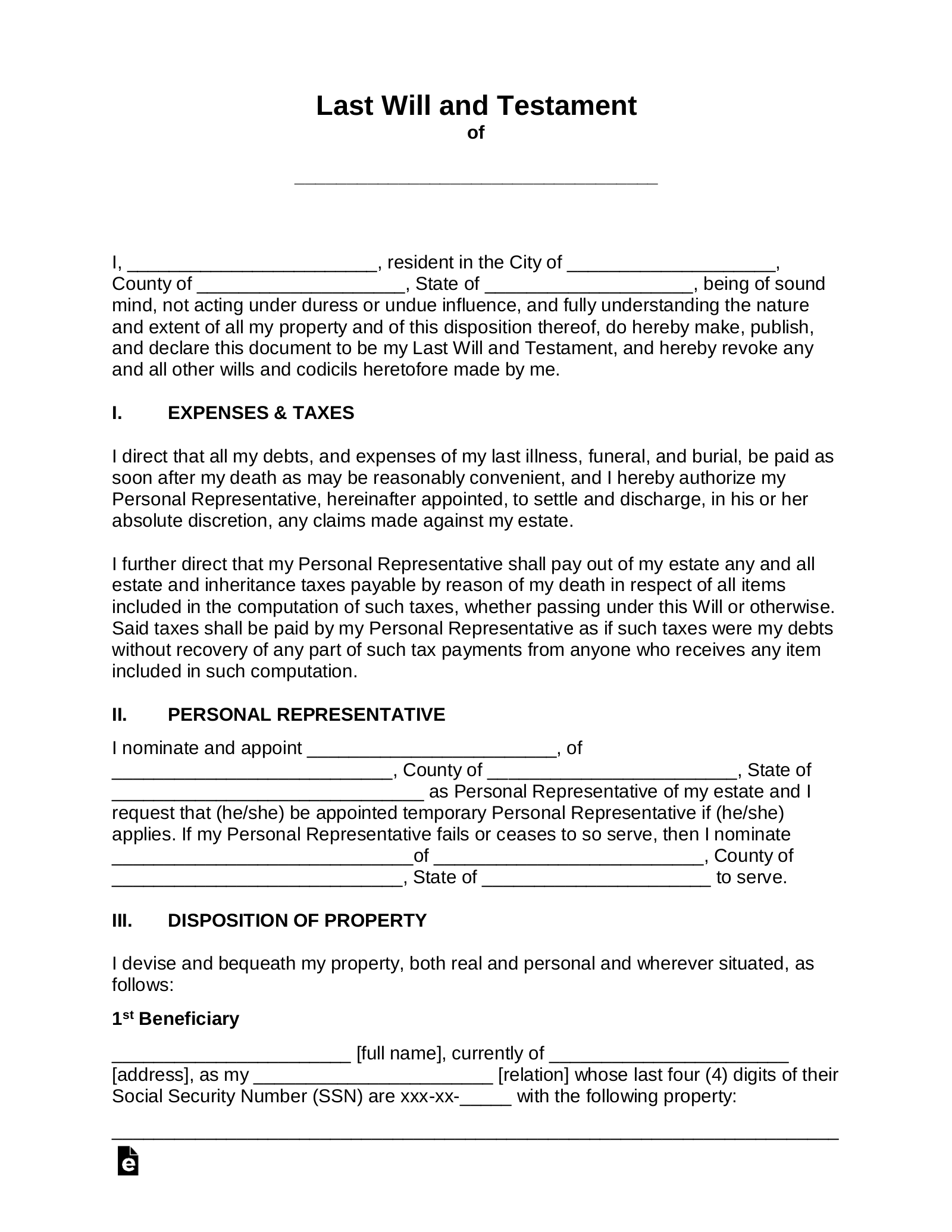
Free Last Will And Testament Will PDF Word EFormsFree Last Will And Testament Will PDF Word EForms

Handling staff wages doesn’t have to be difficult. A Free Printable Last Will And Testament Forms Pdf offers a fast, reliable, and easy-to-use method for tracking employee pay, shifts, and deductions—without the need for complex software.

Whether you’re a startup founder, administrator, or sole proprietor, using aprintable payroll helps ensure proper documentation. Simply access the template, print it, and complete it by hand or type directly into the file before printing.