Skip to content

Free Printable Last Will And Testament Forms Ohio

  • by

Creating a Last Will and Testament is an important step in ensuring that your final wishes are carried out and your assets are distributed according to your desires. In the state of Ohio, having a legally valid will can help prevent disputes among family members and provide clarity on how your estate should be handled.

However, many people are hesitant to create a will due to the perceived complexity and cost associated with the process. Fortunately, there are free printable Last Will and Testament forms available for residents of Ohio that can make the process easier and more accessible.

Free Ohio Last Will And Testament Form CocoSignFree Printable Last Will And Testament Forms Ohio

These forms typically include sections for identifying information, appointing an executor, outlining how assets should be distributed, and naming guardians for minor children if applicable. By filling out these forms and having them witnessed and notarized according to Ohio state law, you can create a legally binding document that reflects your wishes.

It’s important to note that while these free printable forms can be a convenient option for some individuals, they may not be suitable for more complex estate planning needs. If you have a large estate, own multiple properties, or have specific requests that require legal guidance, it may be wise to consult with an attorney to ensure that your will accurately reflects your intentions.

Ultimately, having a Last Will and Testament in place can provide peace of mind knowing that your affairs are in order and your loved ones are taken care of after you pass away. By utilizing free printable forms in Ohio, you can take a proactive step towards estate planning without breaking the bank.

Take the time to review and complete a Last Will and Testament form that aligns with your wishes and the laws of Ohio. By doing so, you can protect your assets, provide for your loved ones, and leave a clear roadmap for how your estate should be handled.

Don’t wait until it’s too late – start the process of creating your Last Will and Testament today using free printable forms designed for Ohio residents.


Download and Print Free Printable Last Will And Testament Forms Ohio

Printable payroll form are ideal for companies that prefer paper documentation or need printed versions for staff files. Most forms include fields for employee name, date range, total earnings, taxes, and net pay—making them both complete and practical.

Take control of your payroll process today with a trusted Free Printable Last Will And Testament Forms Ohio. Reduce admin effort, minimize mistakes, and maintain clear records—all while keeping your payroll records organized.

Free Ohio Last Will And Testament Form CocoSignFree Ohio Last Will And Testament Form CocoSign

Ohio Will Forms Last Will And Testament Living Will Archives Will Forms Will FormsOhio Will Forms Last Will And Testament Living Will Archives Will Forms Will Forms

Ohio Last Will And Testament Templates Free Word PDF ODT Ohio Last Will And Testament Templates Free Word PDF ODT

Free Ohio Last Will And Testament Template PDF WordFree Ohio Last Will And Testament Template PDF Word

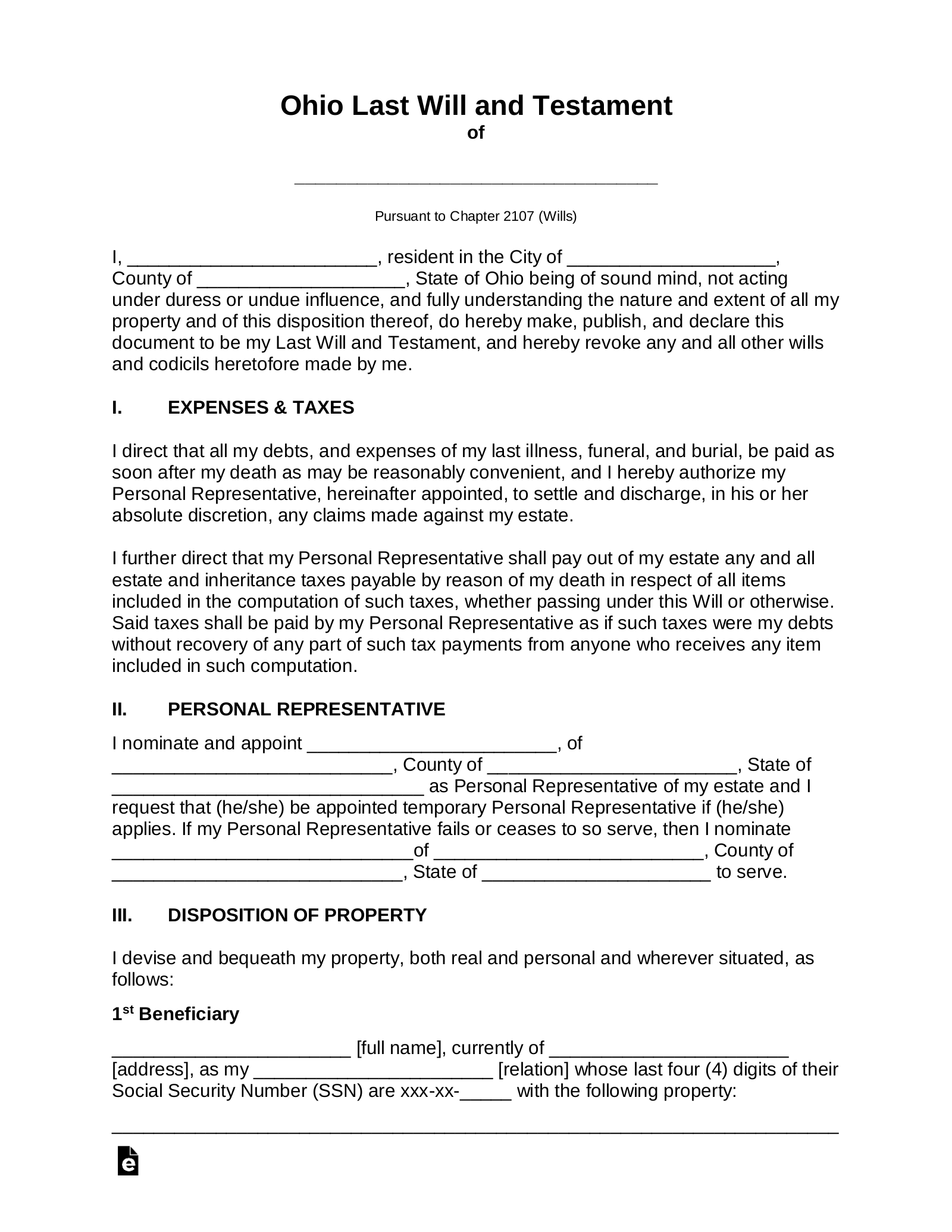
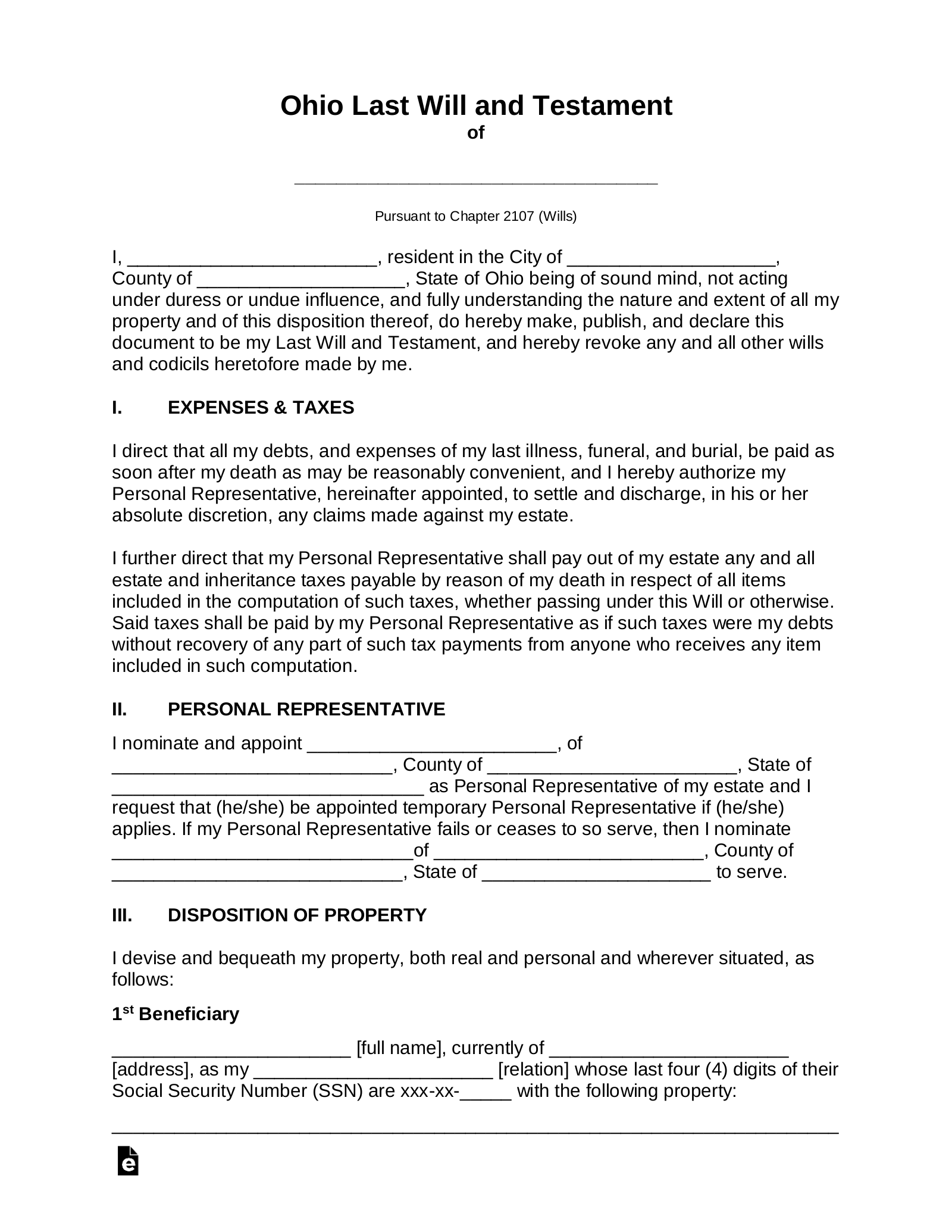
Free Ohio Last Will And Testament Template PDF Word EFormsFree Ohio Last Will And Testament Template PDF Word EForms

Handling staff wages doesn’t have to be complicated. A payroll printable offers a speedy, accurate, and easy-to-use method for tracking employee pay, shifts, and deductions—without the need for digital systems.

Whether you’re a small business owner, administrator, or sole proprietor, using apayroll printable helps ensure accurate record-keeping. Simply download the template, produce a hard copy, and fill it out by hand or type directly into the file before printing.