Planning for the future is essential, and having a last will and testament is a crucial part of that planning. In Mississippi, you can easily create a legally binding document to ensure your assets are distributed according to your wishes. By using free printable last will and testament forms, you can easily draft a document that reflects your desires and provides peace of mind for you and your loved ones.
Free printable last will and testament forms for Mississippi residents are readily available online. These forms typically include sections for you to designate beneficiaries, appoint an executor, and specify how you want your assets distributed. By filling out these forms and having them witnessed and notarized according to Mississippi state law, you can ensure that your wishes are carried out after your passing.
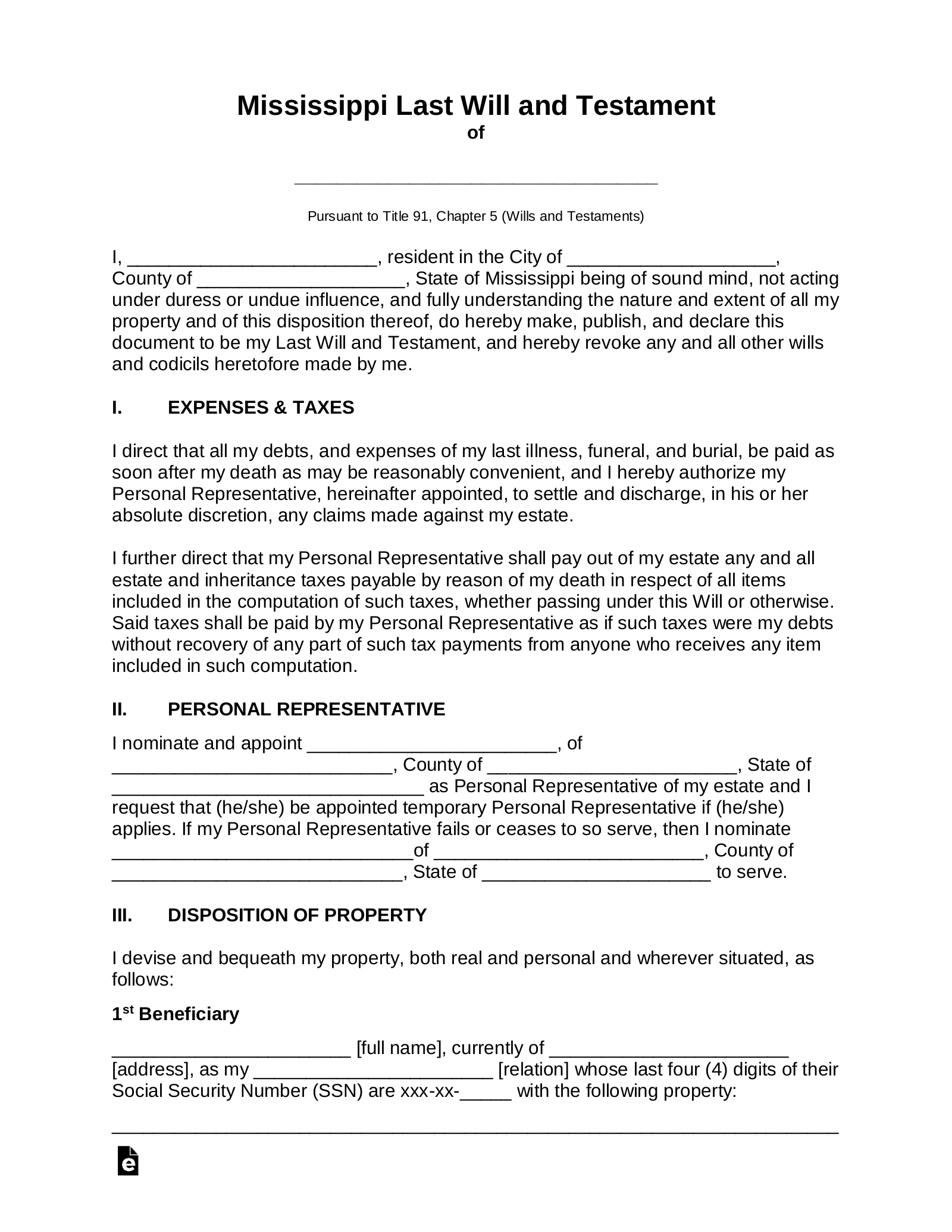
Free Printable Last Will And Testament Forms Mississippi
When creating your last will and testament, it’s important to carefully consider all of your assets and how you want them distributed. You may also want to designate guardians for any minor children or specify any funeral arrangements you desire. By clearly outlining your wishes in your will, you can prevent any confusion or disputes among your loved ones after you’re gone.
It’s important to regularly review and update your last will and testament to reflect any changes in your life circumstances or assets. By staying proactive and ensuring that your will is up to date, you can avoid any potential issues down the road. Additionally, be sure to keep your will in a safe and accessible place so that your loved ones can easily locate it when the time comes.
Overall, creating a last will and testament is a crucial step in planning for the future and ensuring that your wishes are carried out. By using free printable forms and following Mississippi state law, you can easily create a legally binding document that provides peace of mind for you and your loved ones. Take the time to draft your will today and rest easy knowing that your affairs are in order.
In conclusion, creating a last will and testament is an important part of planning for the future in Mississippi. By utilizing free printable forms and following state guidelines, you can ensure that your assets are distributed according to your wishes. Take the time to create your will and update it as needed to provide peace of mind for you and your loved ones.