Skip to content

Free Printable Last Will And Testament Blank Forms Texas

  • by

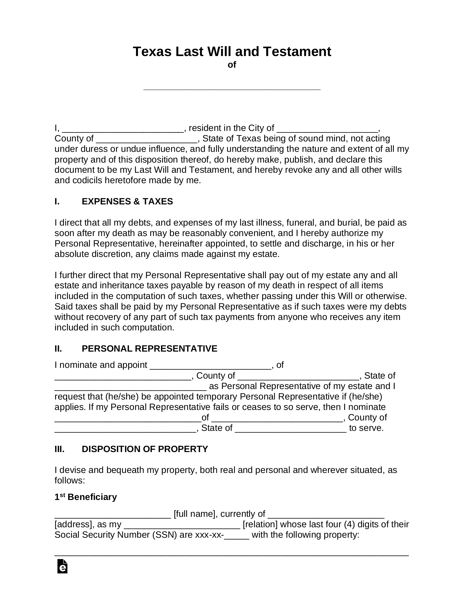
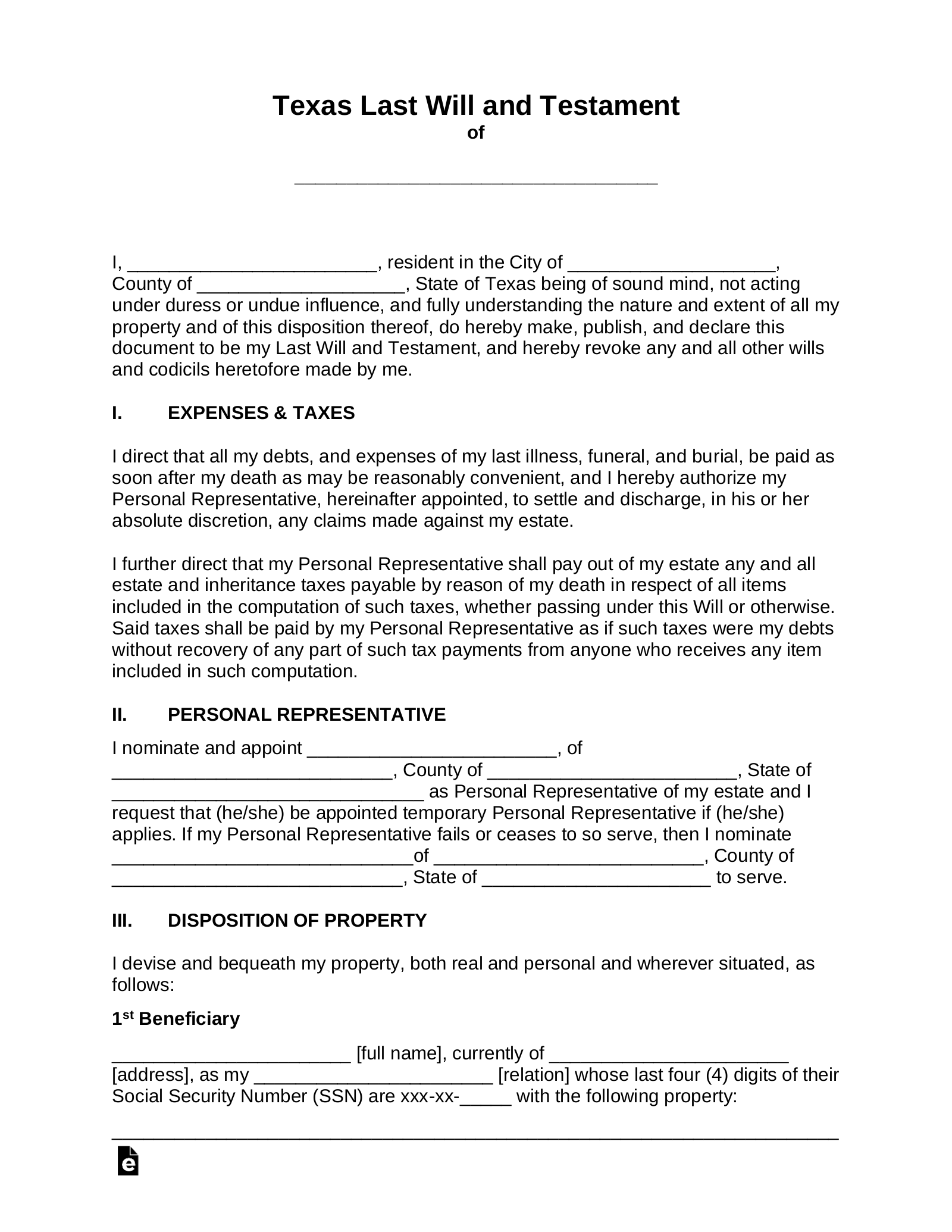
Creating a last will and testament is an important step in ensuring that your final wishes are carried out after your passing. In Texas, having a legally binding document in place can help prevent any confusion or disputes among your loved ones. Fortunately, there are free printable blank forms available online that can help you draft your will with ease.

These free printable last will and testament blank forms for Texas are easy to find and download. They typically include sections for you to fill in your personal information, designate beneficiaries, outline your assets, and specify how you want your estate to be distributed. By using these forms, you can ensure that your wishes are clearly documented and legally binding.

39 Last Will And Testament Forms U0026 Templates TemplateLabFree Printable Last Will And Testament Blank Forms Texas

When using these blank forms, it is important to carefully consider your decisions and seek legal advice if needed. While these forms can be a helpful starting point, they may not cover all possible scenarios or address specific legal requirements. Consulting with an attorney can help ensure that your will is comprehensive and in compliance with Texas state laws.

It is also important to keep your will updated as your circumstances change. Life events such as marriage, divorce, birth of children, or acquisition of new assets can impact how you want your estate to be distributed. By regularly reviewing and updating your will, you can ensure that it accurately reflects your current wishes.

Overall, utilizing free printable last will and testament blank forms for Texas can be a convenient and cost-effective way to create a legally binding document. By taking the time to carefully fill out these forms and seek legal advice when needed, you can have peace of mind knowing that your final wishes will be carried out according to your instructions.

In conclusion, having a last will and testament in place is essential for ensuring that your assets are distributed according to your wishes. By using free printable blank forms for Texas, you can easily create a legally binding document that outlines how you want your estate to be handled. Remember to regularly review and update your will to reflect any changes in your circumstances.

Get and Print Free Printable Last Will And Testament Blank Forms Texas

Free Printable Last Will And Testament Blank Forms Texas are ideal for companies that prefer physical records or need physical copies for audit purposes. Most forms include fields for staff name, date range, total earnings, withholdings, and net pay—making them both comprehensive and practical.

Start simplifying your payroll process today with a trusted printable payroll template. Save time, reduce errors, and maintain clear records—all while keeping your payroll records professional.

Free Texas Last Will And Testament Template CocoSignFree Texas Last Will And Testament Template CocoSign

Free Texas Last Will And Testament Template CocoSignFree Texas Last Will And Testament Template CocoSign

Texas Last Will And Testament Templates Free Word PDF ODT Texas Last Will And Testament Templates Free Word PDF ODT

Free Texas Last Will And Testament Template PDF WordFree Texas Last Will And Testament Template PDF Word

Free Texas Last Will And Testament Template PDF Word EFormsFree Texas Last Will And Testament Template PDF Word EForms

Managing staff wages doesn’t have to be difficult. A payroll printable offers a speedy, reliable, and straightforward method for tracking employee pay, shifts, and withholdings—without the need for complex software.

Whether you’re a startup founder, administrator, or independent contractor, using apayroll template helps ensure accurate record-keeping. Simply download the template, print it, and fill it out by hand or edit it digitally before printing.