Creating a last will and testament is an important step in planning for the future. It allows you to specify how you want your assets to be distributed after your passing, ensuring that your wishes are carried out. In Tennessee, having a valid will in place can provide peace of mind for both you and your loved ones.
However, many people are often hesitant to create a will due to the perceived complexity and cost involved. This is where free printable last will and testament blank forms for Tennessee can be a valuable resource. These forms provide a simple and straightforward way to outline your wishes without the need for expensive legal assistance.
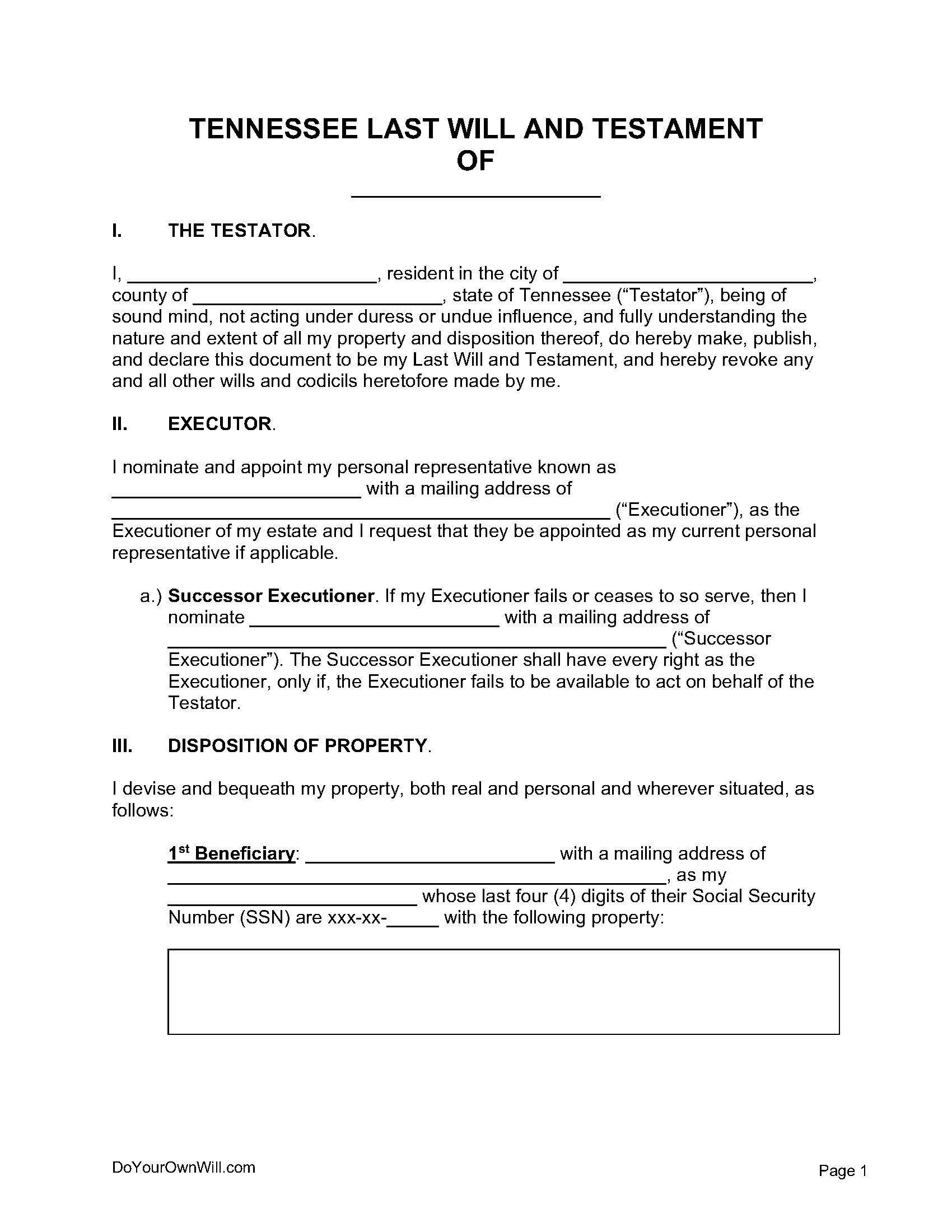
Free Printable Last Will And Testament Blank Forms Tennessee
Using a blank form allows you to fill in the necessary information such as your name, beneficiaries, and specific instructions for asset distribution. It also gives you the flexibility to customize your will according to your unique circumstances. Whether you have a large estate or just a few personal belongings to pass on, having a will ensures that your wishes are respected.
Furthermore, having a will can help prevent potential disputes among family members and provide clarity on how your estate should be handled. By taking the time to create a will using a free printable form, you can alleviate any uncertainty and make the probate process smoother for your loved ones.
It’s important to note that while using a free printable last will and testament form can be a convenient option, it’s always advisable to have your will reviewed by a legal professional to ensure its validity and compliance with Tennessee state laws. Consulting with an attorney can help address any specific concerns or questions you may have regarding your will.
In conclusion, free printable last will and testament blank forms for Tennessee offer a simple and accessible solution for individuals looking to create a will. By taking this important step, you can protect your assets, provide for your loved ones, and ensure that your final wishes are carried out. Consider utilizing these forms as a starting point in your estate planning process.