Skip to content

Free Printable Illinois Last Will And Testament Form

  • by

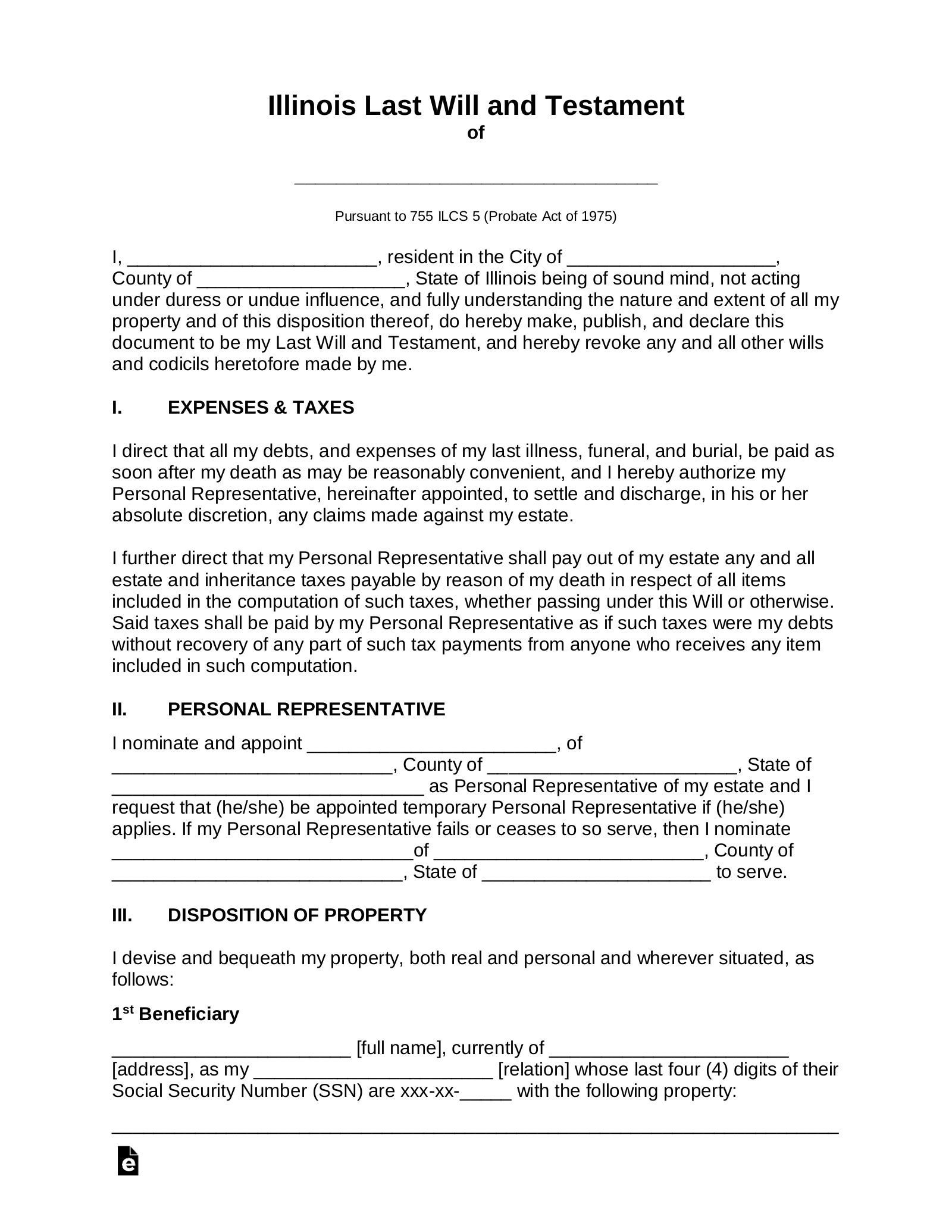
In Illinois, creating a Last Will and Testament is an important step in ensuring that your assets are distributed according to your wishes after you pass away. A Last Will and Testament is a legal document that specifies how your property and assets should be distributed upon your death. It allows you to name beneficiaries, designate guardians for minor children, and appoint an executor to carry out your wishes.

While it is always recommended to consult with an attorney when creating a Last Will and Testament, there are free printable forms available online that can help you get started. These forms can be a useful tool in organizing your thoughts and wishes before meeting with a legal professional.

Free Illinois Last Will And Testament Form CocoSignFree Printable Illinois Last Will And Testament Form

When using a free printable Illinois Last Will and Testament form, it is important to ensure that it complies with the state’s laws and regulations. Each state has its own requirements for a valid Will, so it is crucial to make sure the form you use is specific to Illinois.

The form will typically include sections for you to fill out your personal information, list your beneficiaries, specify how your assets should be distributed, name guardians for any minor children, and appoint an executor. It is important to be as detailed and specific as possible in order to avoid any confusion or disputes among your loved ones after you are gone.

After completing the form, it is recommended to have it witnessed and notarized to make it legally binding. It is also a good idea to review and update your Will periodically, especially after major life events such as marriage, divorce, or the birth of a child.

By taking the time to create a Last Will and Testament, you can have peace of mind knowing that your wishes will be carried out and your loved ones will be taken care of after you are no longer here. Utilizing a free printable form can be a helpful starting point in the estate planning process and can serve as a valuable resource when working with an attorney to create a comprehensive Will.

In conclusion, a free printable Illinois Last Will and Testament form can be a useful tool in organizing your wishes and ensuring that your assets are distributed according to your desires. It is important to consult with an attorney to ensure that your Will complies with state laws and is legally binding. By creating a Will, you can provide clarity and peace of mind for your loved ones in the event of your passing.


Quickly Access and Print Free Printable Illinois Last Will And Testament Form

Payroll printable are ideal for companies that prefer paper documentation or need printed versions for audit purposes. Most forms include fields for staff name, pay period, gross pay, taxes, and final salary—making them both detailed and practical.

Start simplifying your payroll process today with a trusted printable payroll form. Save time, reduce errors, and maintain clear records—all while keeping your payroll records clear.

Free Illinois Last Will And Testament Form CocoSignFree Illinois Last Will And Testament Form CocoSign

Illinois Last Will And Testament Template In Google Docs Word Download TemplateIllinois Last Will And Testament Template In Google Docs Word Download Template

Illinois Will Forms Last Will And Testament Living Will Archives Will Forms Will FormsIllinois Will Forms Last Will And Testament Living Will Archives Will Forms Will Forms

Illinois Last Will And Testament Templates Free Word PDF ODT Illinois Last Will And Testament Templates Free Word PDF ODT

Free Illinois Last Will And Testament Template PDF Word EFormsFree Illinois Last Will And Testament Template PDF Word EForms

Managing employee payments doesn’t have to be overwhelming. A payroll template offers a quick, dependable, and easy-to-use method for tracking wages, work time, and taxes—without the need for digital systems.

Whether you’re a startup founder, payroll manager, or independent contractor, using aprintable payroll template helps ensure proper documentation. Simply download the template, produce a hard copy, and complete it by hand or edit it digitally before printing.