Skip to content

Free Printable Forms For Last Will And Testament Nj

  • by

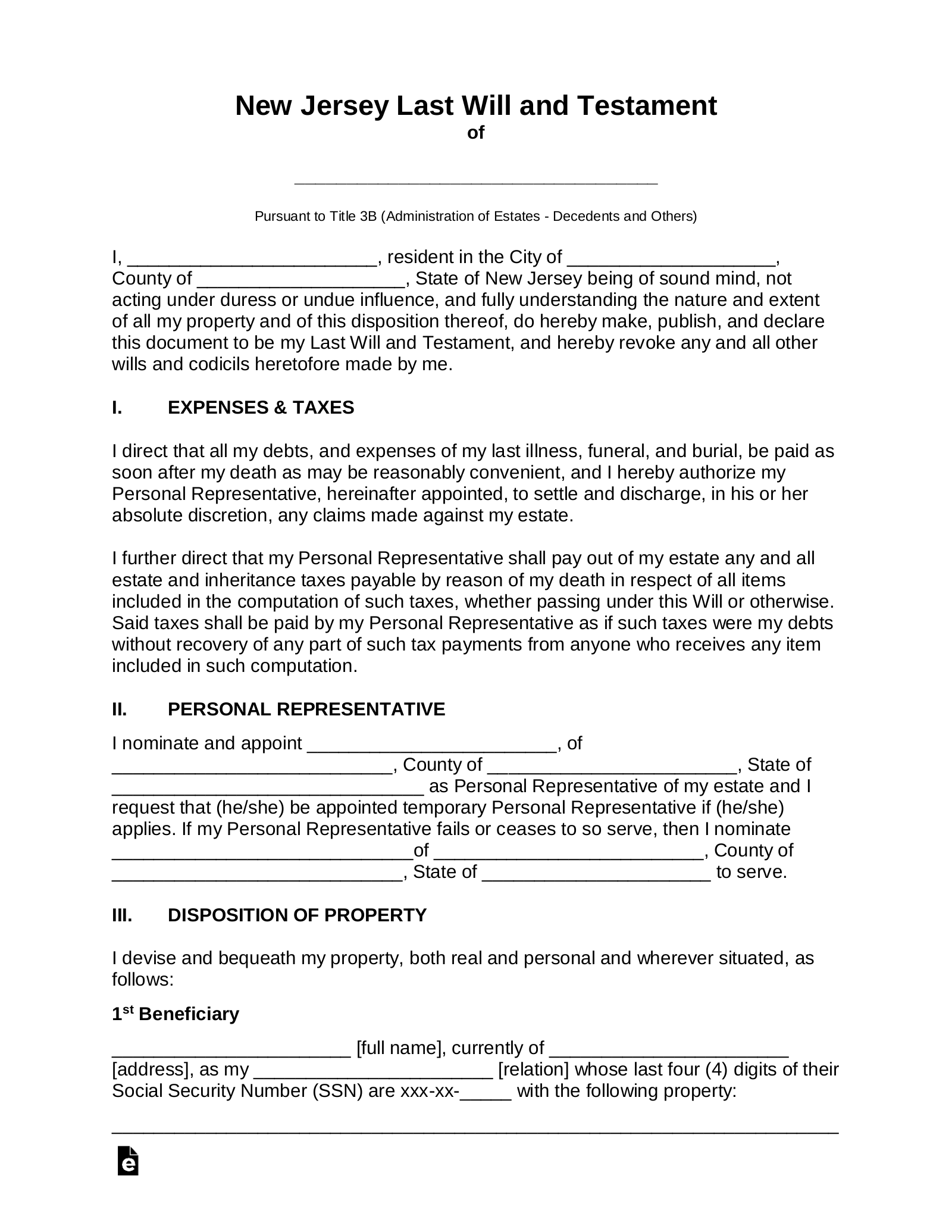
Creating a Last Will and Testament is an important step in ensuring that your final wishes are carried out properly and your loved ones are taken care of after you pass away. In the state of New Jersey, there are specific laws and requirements that must be followed when creating a valid will. One option for creating a will is to use free printable forms that are tailored to New Jersey laws.

These free printable forms can be easily accessed online and provide a template for individuals to fill in their personal information and wishes regarding the distribution of their assets. While these forms can be a convenient and cost-effective option, it is important to ensure that they meet all legal requirements in New Jersey to avoid any complications or disputes after your passing.

Fillable New Jersey Last Will And Testament Form Free FormsPal Worksheets LibraryFree Printable Forms For Last Will And Testament Nj

When using free printable forms for a Last Will and Testament in New Jersey, it is essential to carefully review the document and make sure that all necessary information is included. This may include appointing an executor, specifying how your assets should be distributed, and addressing any other important matters such as guardianship of minor children or charitable donations.

Additionally, it is advisable to have the completed will notarized and witnessed by two individuals who are not beneficiaries named in the will. This will help ensure that the document is legally binding and will be upheld in probate court. It is also recommended to review and update your will periodically to reflect any changes in your personal circumstances or wishes.

While using free printable forms for a Last Will and Testament in New Jersey can be a convenient option, it is important to seek legal advice if you have complex estate planning needs or if you are unsure about the legal requirements in the state. An attorney can provide guidance and ensure that your will is properly executed according to New Jersey laws.

In conclusion, free printable forms for a Last Will and Testament in New Jersey can be a useful tool for individuals looking to create a basic will that complies with state laws. However, it is essential to carefully review and follow all legal requirements to ensure that your final wishes are carried out properly. Consider seeking legal advice to ensure that your will is comprehensive and legally binding.


Get and Print Free Printable Forms For Last Will And Testament Nj

Payroll template are ideal for companies that prefer non-digital systems or need hard copies for staff files. Most forms include fields for staff name, date range, total earnings, withholdings, and net pay—making them both detailed and easy to use.

Begin streamlining your payroll system today with a trusted printable payroll. Save time, reduce errors, and maintain clear records—all while keeping your employee payment data professional.

Fillable New Jersey Last Will And Testament Form Free FormsPal Worksheets LibraryFillable New Jersey Last Will And Testament Form Free FormsPal Worksheets Library

39 Last Will And Testament Forms U0026 Templates TemplateLab39 Last Will And Testament Forms U0026 Templates TemplateLab

Legal Last Will And Testament Template In Word Google Docs Download TemplateLegal Last Will And Testament Template In Word Google Docs Download Template

New Jersey Last Will And Testament Templates Free Word PDF ODT New Jersey Last Will And Testament Templates Free Word PDF ODT

Free New Jersey Last Will And Testament Template PDF Word EFormsFree New Jersey Last Will And Testament Template PDF Word EForms

Handling employee payments doesn’t have to be complicated. A Free Printable Forms For Last Will And Testament Nj offers a speedy, reliable, and straightforward method for tracking wages, hours, and taxes—without the need for complicated tools.

Whether you’re a small business owner, payroll manager, or sole proprietor, using aprintable payroll form helps ensure accurate record-keeping. Simply download the template, produce a hard copy, and complete it by hand or type directly into the file before printing.