Skip to content

Free Printable Durable Power Of Attorney Form Ohio

  • by

When it comes to planning for the future, having a durable power of attorney in place is essential. This legal document allows you to appoint someone to make important decisions on your behalf if you become unable to do so yourself. In Ohio, having a durable power of attorney can provide peace of mind knowing that your affairs will be taken care of in the event of incapacity.

One of the advantages of a durable power of attorney is that it remains valid even if you become incapacitated. This means that your chosen agent will still have the authority to make decisions on your behalf, such as managing your finances, paying bills, and making healthcare choices. Having a durable power of attorney can help avoid the need for a court-appointed guardian, which can be a costly and time-consuming process.

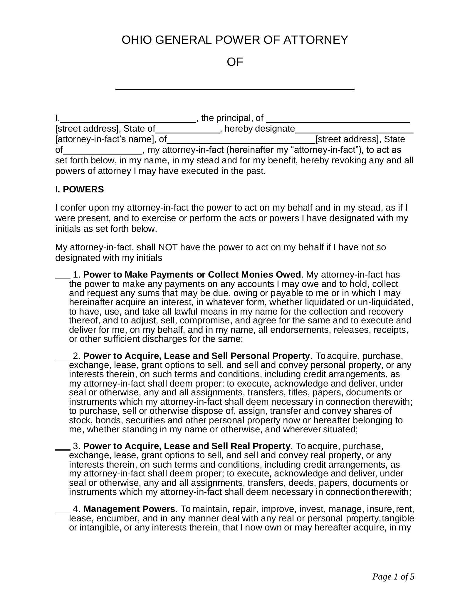
Free Ohio General Financial Power Of Attorney PDF Word EFormsFree Printable Durable Power Of Attorney Form Ohio

For those living in Ohio, finding a free printable durable power of attorney form is a simple and convenient way to ensure your wishes are carried out. These forms can be easily downloaded and completed, allowing you to designate a trusted individual to act on your behalf. It is important to carefully consider who you choose as your agent, as they will have significant authority over your affairs.

When completing a durable power of attorney form in Ohio, it is important to follow all legal requirements to ensure its validity. This includes signing the document in the presence of a notary public and having it witnessed by two individuals. By taking the time to properly execute your durable power of attorney, you can have confidence that your wishes will be honored in the future.

In conclusion, having a durable power of attorney is a crucial component of any comprehensive estate plan. By designating a trusted individual to act on your behalf, you can ensure that your affairs will be managed according to your wishes. In Ohio, finding a free printable durable power of attorney form is a simple and effective way to protect yourself and your loved ones in the event of incapacity.

Save and Print Free Printable Durable Power Of Attorney Form Ohio

Printable payroll are ideal for companies that prefer paper documentation or need printed versions for audit purposes. Most forms include fields for employee name, pay period, total earnings, withholdings, and net pay—making them both complete and user-friendly.

Start simplifying your payroll system today with a trusted printable payroll. Reduce admin effort, reduce errors, and maintain clear records—all while keeping your payroll records clear.

Free Ohio Power Of Attorney Forms PDF TemplatesFree Ohio Power Of Attorney Forms PDF Templates

Free Ohio Medical Power Of Attorney Form PDFFree Ohio Medical Power Of Attorney Form PDF

Free Ohio Durable Power Of Attorney Form PDFFree Ohio Durable Power Of Attorney Form PDF

Free Ohio OH Power Of Attorney Forms U0026 Templates PDFFree Ohio OH Power Of Attorney Forms U0026 Templates PDF

Free Ohio Durable Financial Power Of Attorney Form PDF WordFree Ohio Durable Financial Power Of Attorney Form PDF Word

Handling employee payments doesn’t have to be overwhelming. A printable payroll template offers a quick, reliable, and easy-to-use method for tracking employee pay, hours, and deductions—without the need for complicated tools.

Whether you’re a startup founder, payroll manager, or independent contractor, using aprintable payroll helps ensure proper documentation. Simply access the template, produce a hard copy, and fill it out by hand or type directly into the file before printing.