Planning for the future is an essential part of life, and creating a last will testament is a crucial step in ensuring that your assets are distributed according to your wishes after you pass away. By having a legally binding document in place, you can provide clarity and peace of mind for your loved ones during a difficult time.
However, the process of creating a last will testament can seem daunting and expensive. Fortunately, there are free printable forms available online that can help simplify the process and make it more accessible to everyone.
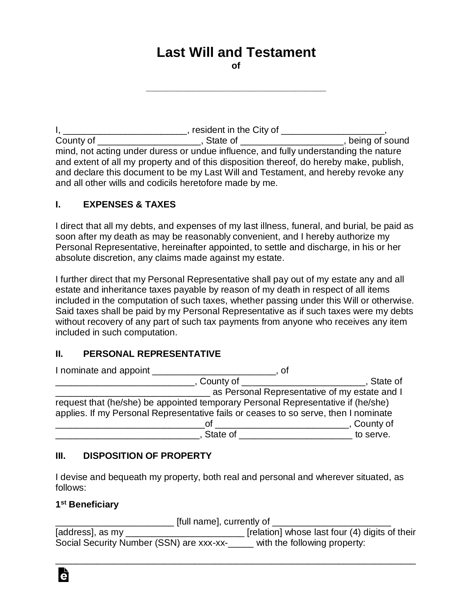
Free Last Will Testament Forms Printable
Free Last Will Testament Forms Printable
Free last will testament forms printable can be easily found on various websites dedicated to estate planning. These forms typically include sections for you to fill in your personal information, list your assets and beneficiaries, and designate an executor to carry out your wishes.
It is important to note that while these free forms can be a good starting point, they may not cover all the intricacies of your individual situation. Consulting with an estate planning attorney to review your document and ensure its legality is recommended.
When filling out a last will testament form, be sure to be as detailed and specific as possible. Clearly identify your beneficiaries and the assets you wish to leave to each of them. Additionally, consider including instructions for any special circumstances or conditions that you want to be followed.
After completing your last will testament form, it is crucial to have it witnessed and signed according to the laws of your state. This will help ensure that your document is legally valid and enforceable.
In conclusion, creating a last will testament is an essential part of estate planning. With free printable forms available online, you can take the first step towards securing your legacy and providing for your loved ones. Remember to consult with a legal professional to ensure that your document accurately reflects your wishes and is legally binding.