Skip to content

Blank Printable Simple Last Will And Testament Forms

  • by

Creating a last will and testament is an important step in ensuring that your wishes are carried out after your passing. While many people may think that creating a will is a complex and expensive process, there are actually simple and affordable options available, such as blank printable forms. These forms provide a basic template for individuals to fill in their personal information and wishes, making the process quick and easy.

Blank printable simple last will and testament forms can be found online for free or for a small fee. These forms typically include sections for individuals to designate beneficiaries, appoint an executor, outline specific bequests, and specify any other instructions they may have. By using these forms, individuals can ensure that their assets are distributed according to their wishes and that their loved ones are taken care of after their passing.

Last Will And Testament Template Simple Fillable Legal Form US Blank Printable Simple Last Will And Testament Forms

One of the key benefits of using blank printable simple last will and testament forms is the flexibility they offer. These forms can be customized to meet the specific needs and wishes of individuals, allowing them to tailor their will to their unique circumstances. Additionally, by using a simple template, individuals can avoid the confusion and complexity that can come with more elaborate wills, making the process more straightforward and accessible.

Another advantage of using blank printable simple last will and testament forms is the convenience they provide. These forms can be easily accessed and completed from the comfort of one’s own home, eliminating the need to schedule appointments with lawyers or other professionals. This can save individuals both time and money, making the process of creating a will more accessible to a wider range of people.

In conclusion, blank printable simple last will and testament forms are a great option for individuals looking to create a will quickly and affordably. By using these forms, individuals can ensure that their wishes are carried out after their passing and that their loved ones are provided for. With their flexibility, convenience, and ease of use, blank printable forms are a valuable tool for anyone looking to create a last will and testament.

Quickly Access and Print Blank Printable Simple Last Will And Testament Forms

Payroll template are ideal for teams that prefer non-digital systems or need hard copies for audit purposes. Most forms include fields for staff name, date range, total earnings, taxes, and net pay—making them both complete and easy to use.

Start simplifying your payroll process today with a trusted printable payroll form. Reduce admin effort, reduce errors, and stay organized—all while keeping your financial logs professional.

Amazon Last Will And Testament Kit 2025 Simple Will Forms Amazon Last Will And Testament Kit 2025 Simple Will Forms

39 Last Will And Testament Forms U0026 Templates TemplateLab39 Last Will And Testament Forms U0026 Templates TemplateLab

Free Last Will And Testament Template Templates 2 PDF WordFree Last Will And Testament Template Templates 2 PDF Word

39 Last Will And Testament Forms U0026 Templates TemplateLab39 Last Will And Testament Forms U0026 Templates TemplateLab

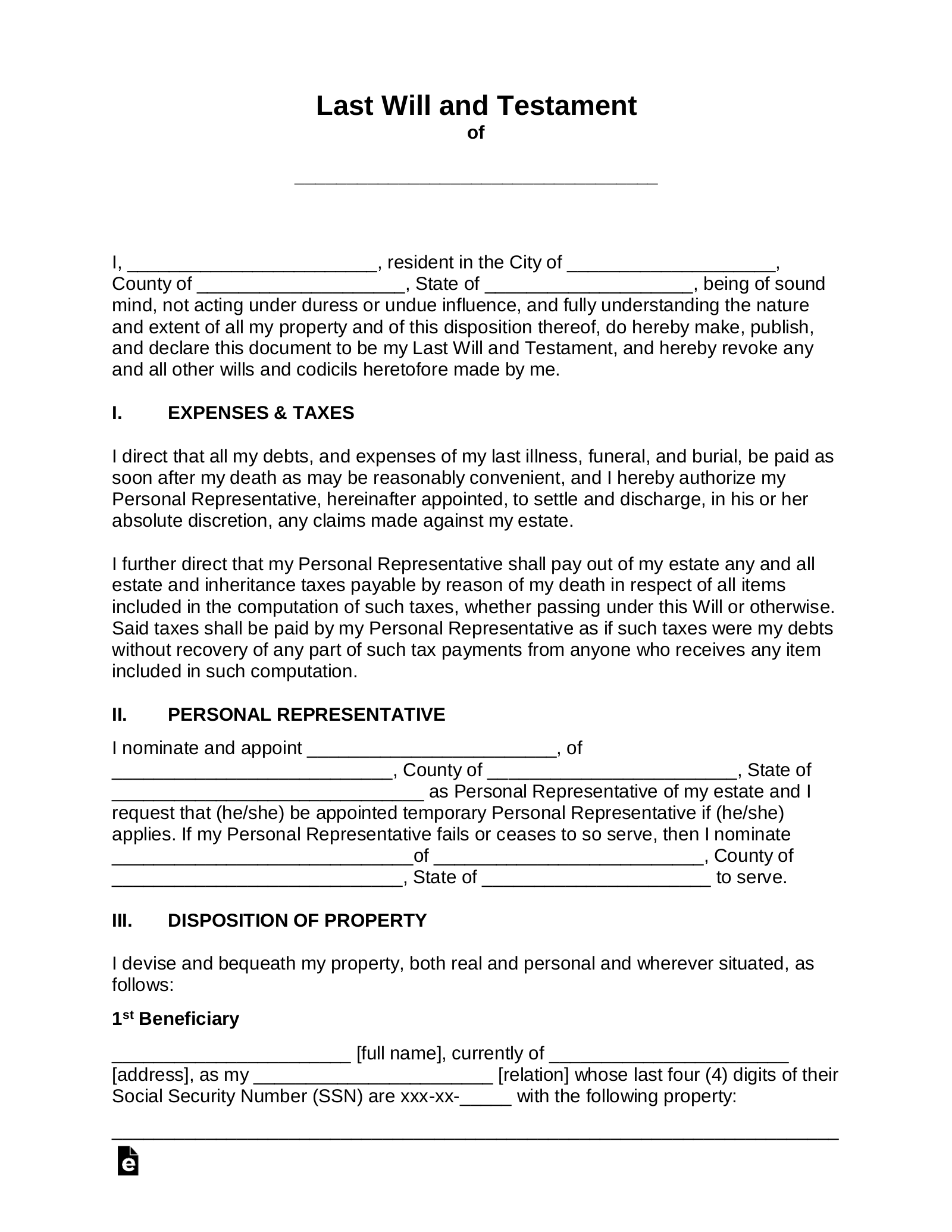
Free Last Will And Testament Will PDF Word EFormsFree Last Will And Testament Will PDF Word EForms

Handling payroll tasks doesn’t have to be difficult. A Blank Printable Simple Last Will And Testament Forms offers a speedy, dependable, and user-friendly method for tracking employee pay, shifts, and withholdings—without the need for digital systems.

Whether you’re a freelancer, administrator, or independent contractor, using apayroll template helps ensure proper documentation. Simply get the template, print it, and complete it by hand or type directly into the file before printing.