Creating a last will and testament is an important step in ensuring that your final wishes are carried out after your passing. In the state of Alabama, having a legally valid will can help prevent any potential disputes among your loved ones and provide clarity on how your assets should be distributed. Blank printable last will and testament forms can be a helpful tool in guiding you through the process of creating your will.
By using blank printable last will and testament forms specific to Alabama, you can customize the document to reflect your individual wishes and preferences. These forms typically include sections for you to designate beneficiaries, assign an executor, outline how your assets should be distributed, and specify any other instructions you may have for your estate.
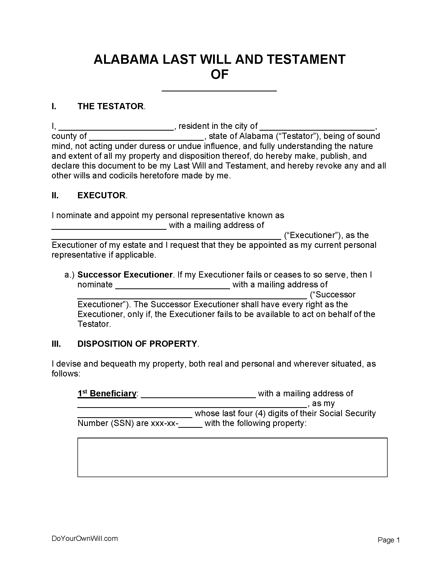
Blank Printable Last Will And Testament Forms Alabama
It is important to carefully consider all aspects of your will and seek legal advice if needed to ensure that your document meets all legal requirements in Alabama. Additionally, regularly reviewing and updating your will as needed can help ensure that it remains up-to-date and accurately reflects your wishes.
When using blank printable last will and testament forms in Alabama, be sure to fill out all sections accurately and clearly. It is also recommended to have witnesses sign the document to validate its authenticity. Keeping your will in a safe and accessible location, such as with your attorney or in a secure place at home, can help ensure that it is easily found and executed when the time comes.
Overall, using blank printable last will and testament forms specific to Alabama can be a helpful tool in creating a legally valid and comprehensive document that reflects your final wishes. By taking the time to carefully consider and outline your wishes, you can provide peace of mind for yourself and your loved ones in the future.
Remember, creating a will is an important step in estate planning, and having a legally valid document can help ensure that your wishes are carried out as intended. Utilizing blank printable last will and testament forms specific to Alabama can be a valuable resource in guiding you through the process of creating your will and ensuring that it meets all legal requirements in the state.