Skip to content

Blank Printable Form New York Last Will And Testament

  • by

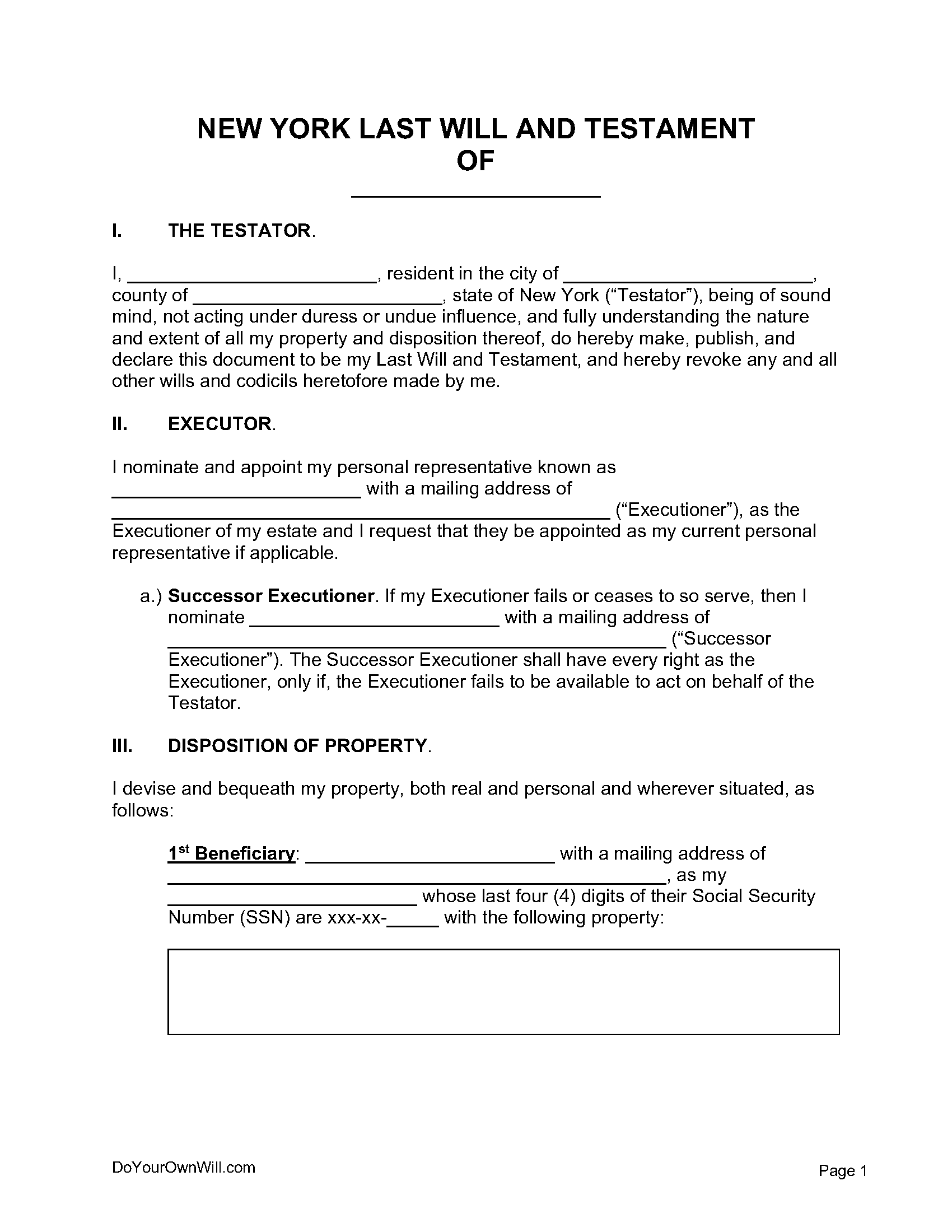
Creating a Last Will and Testament is an important step in ensuring that your assets are distributed according to your wishes after you pass away. In New York, having a legally valid will can provide peace of mind to both you and your loved ones. If you are considering creating a will in New York, a blank printable form can help you get started.

By using a blank printable form for your Last Will and Testament in New York, you can easily fill in the necessary information and customize the document to meet your specific needs. This form will include sections for detailing your assets, naming beneficiaries, appointing an executor, and more. Having a clear and concise will can help prevent any confusion or disputes among family members after you are gone.

New York Last Will And Testament Free Template Form Blank Printable Form New York Last Will And Testament

When filling out the form, it is important to be as thorough as possible to ensure that all of your wishes are clearly stated. You may also want to seek the advice of a legal professional to review your will and make sure it complies with New York state laws. Once your will is completed and signed, it is recommended to keep it in a safe place and inform your loved ones of its location.

It is also important to regularly review and update your will as your circumstances change. Life events such as marriage, divorce, birth of children, or acquiring new assets may necessitate revisions to your will. By keeping your will up to date, you can ensure that it accurately reflects your current wishes and provides for your loved ones in the way you intend.

In conclusion, a blank printable form for a Last Will and Testament in New York can be a valuable tool in estate planning. Taking the time to create a will can provide peace of mind and ensure that your assets are distributed according to your wishes. By following the necessary steps and seeking legal advice if needed, you can create a comprehensive will that meets all of your needs.


Save and Print Blank Printable Form New York Last Will And Testament

Payroll printable are ideal for businesses that prefer physical records or need hard copies for staff files. Most forms include fields for staff name, date range, gross pay, withholdings, and net pay—making them both complete and easy to use.

Start simplifying your payment tracking today with a trusted printable payroll. Save time, reduce errors, and stay organized—all while keeping your payroll records organized.

New York Last Will And Testament Template In Google Docs Word Download TemplateNew York Last Will And Testament Template In Google Docs Word Download Template

Last Will And Testament Editable Last Will And Testament Template Printable Last Will And Testament Form PDF Instant Download Digital EtsyLast Will And Testament Editable Last Will And Testament Template Printable Last Will And Testament Form PDF Instant Download Digital Etsy

Free New York Last Will And Testament Template CocoSignFree New York Last Will And Testament Template CocoSign

New York Last Will And Testament Templates Free Word PDF ODT New York Last Will And Testament Templates Free Word PDF ODT

Free New York Last Will And Testament Form PDF WORD ODTFree New York Last Will And Testament Form PDF WORD ODT

Processing staff wages doesn’t have to be overwhelming. A printable payroll form offers a speedy, dependable, and user-friendly method for tracking wages, hours, and deductions—without the need for complicated tools.

Whether you’re a freelancer, payroll manager, or sole proprietor, using aprintable payroll form helps ensure proper documentation. Simply get the template, print it, and complete it by hand or edit it digitally before printing.