Creating a will is an essential part of estate planning, as it ensures that your assets are distributed according to your wishes after you pass away. In Missouri, having a will in place can help avoid potential conflicts among your loved ones and provide clarity on how your estate should be handled.
If you’re looking to create a will in Missouri, you may consider using a basic will and testament printable form that is available for free. These forms are easy to fill out and can serve as a good starting point for drafting your will.
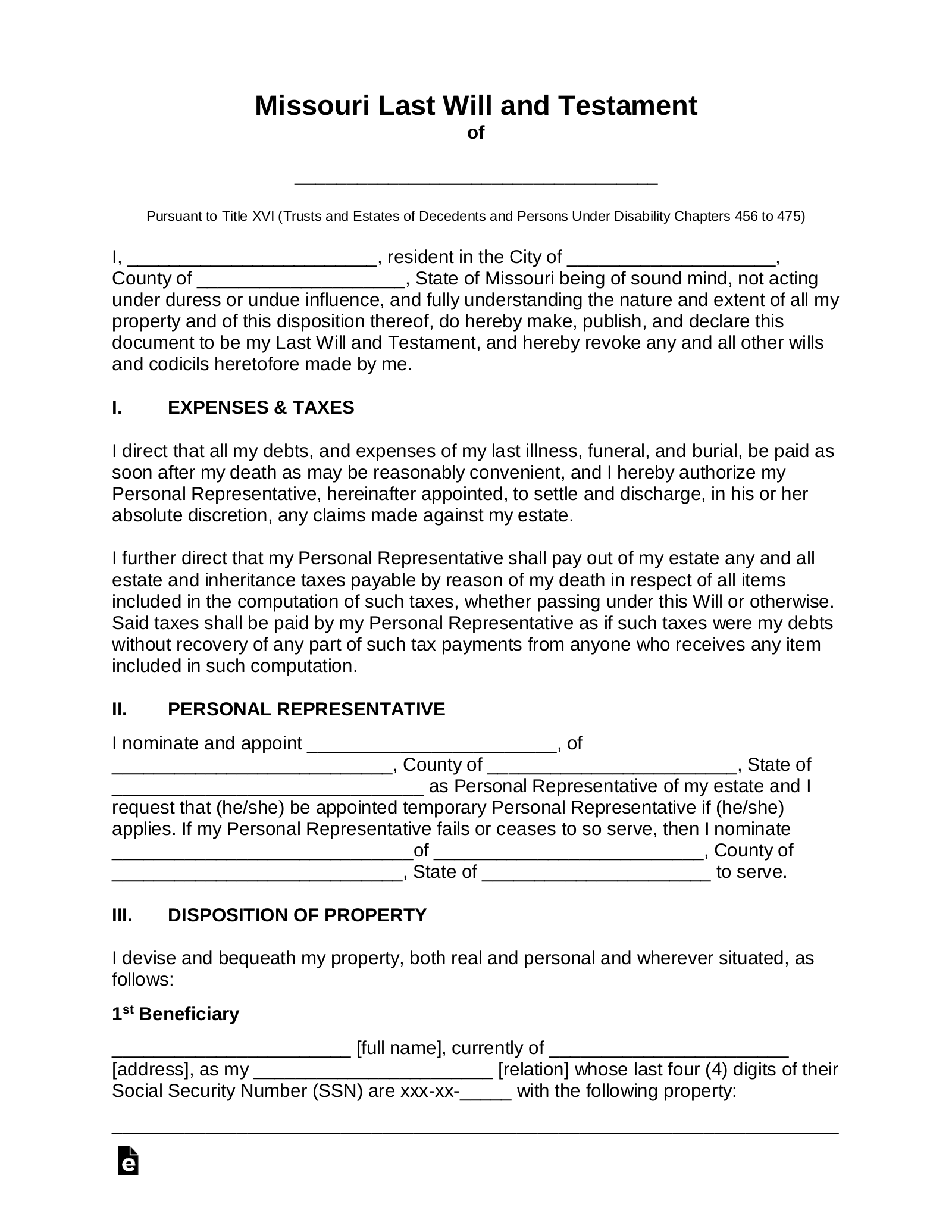
Basic Will And Testament Printable Form Missouri Free
When using a basic will and testament printable form in Missouri, it’s important to include essential information such as your full name, address, beneficiaries, and details about your assets. You should also appoint an executor who will be responsible for carrying out your wishes and distributing your estate.
Additionally, you may want to specify any specific bequests or conditions for distributing your assets, as well as designate guardians for any minor children. It’s crucial to review and update your will regularly to reflect any changes in your circumstances or wishes.
While a basic will and testament printable form in Missouri can be a convenient and cost-effective option for creating a will, it’s important to consult with an attorney to ensure that your will complies with state laws and accurately reflects your intentions. An attorney can provide guidance on complex estate planning issues and help you avoid potential pitfalls.
In conclusion, creating a will is an important step in planning for the future and ensuring that your assets are distributed according to your wishes. Using a basic will and testament printable form in Missouri can be a helpful tool in getting started with your estate planning process. However, it’s recommended to seek legal advice to ensure that your will is legally sound and meets your specific needs.